BTC/HKD+3.06%
ETH/HKD+3.05%
LTC/HKD+3.28%
ADA/HKD+5.17%
SOL/HKD+4.56%
XRP/HKD+3.46%uniswap V3一公布就引發廣泛關注。相對V2來說,邏輯和代碼都復雜一些。V3的核心是通過盤口區間提供流動性(集中式流動性),解決LP提供流動性時的資金利用率的問題。什么是資金利用率?V3如何推導區間流動性的計算公式?如何理解流動性?如何計算swap費用?本文先從V3技術白皮書詳細分析開始。
先給出一些uniswap官方有關V3的資料:
V3官方介紹
https://uniswap.org/blog/uniswap-v3/
技術白皮書
https://uniswap.org/whitepaper-v3.pdf
智能合約代碼
https://github.com/Uniswap/uniswap-v3-core
https://github.com/Uniswap/uniswap-v3-periphery
推薦先認真查看技術白皮書,再看智能合約代碼,最后再對照官方介紹。理解了技術白皮書,代碼非常容易理解。在技術白皮書的第一章總結了uniswap V3的技術特點,最核心的概念是"Concentrated Liquidity" (集中式流動性)。
資金利用率
先看看uniswap V2的資金利用率:

上圖為資金池中的x/y的量變化曲線。資金池中的當前價格在c點,并且假設會在a價格點和b價格點之間波動。從c點向a點滑動,消耗最大y_real,從c點向b點滑動,消耗最大為x_real。也就是說,當前價格c點,在a點和b點之間震蕩的話,最大只需要消耗x_real和y_real。理論上只要提供x_real和y_real就足夠了。而事實上,如上圖所示,在價格c點,分別提供了大于x_real和y_real的x和y。明顯可以看出,x-x_real和y-y_real的資金在這種情況下是永遠用不上的,也就稱為閑置資金。
數據:BUSD在Uniswap的流動性觸及近1個月低點:金色財經報道,據Glassnode最新數據顯示,BUSD在Uniswap上的流動性達到624,229.12美元,觸及近1個月低點。
此前BUSD的流動性低點為629,842.50美元,發生在5天前的2023年2月14日。[2023/2/19 12:16:01]
在這種情況下,資金利用率為x_real/x或者y_real/y。如果價格波動非常小的話,資金利用率是非常低的。uniswap V3就是嘗試解決資金利用率低的問題。想法比較簡單,所有資金可以只添加到某個區間,只添加到有可能價格波動到的區間范圍。如何在某個區間添加流動性并提供swap功能是uniswap V3的重點。先從Virtual Reserves說起。
虛擬資金池(Virtual Reserves)
uniswap的交易采用的乘積固定模型(x*y=k)。所謂的虛擬資金池(Virtual Reserves),是指還在乘積固定曲線上,只提供某個區間流動性的資金池:

圖中的墨綠色的曲線就是虛擬資金池滿足的乘積固定曲線。事實上需要的資金的曲線如圖中的橘黃色。橘黃色的曲線公式如下圖:

你可以想象成虛擬資金曲線在x/y軸進行平移,使得a/b點和x/y軸重合。也就是用一定量的資金就能達到“虛擬”的交易曲線的效果。
如何計算在某個區間提供虛擬資金池,先要從深入理解流動性開始。
Uniswap Labs收購NFT聚合市場Genie并向合格用戶發放USDC空投:金色財經報道,Uniswap Labs宣布收購了NFT聚合平臺Genie,將產品擴大到包括ERC-20和NFT。從今年秋天開始,用戶將能夠直接在Uniswap網絡應用程序上買賣NFT。也會將NFT集成到的開發人員API和小部件中,使Uniswap成為web3中用戶和構建者的綜合平臺。此外,為了歡迎Genie社區加入Uniswap世界,我們將在今年夏天晚些時候向在4月15日之前多次使用Genie或持有GEMNFT的所有人空投USDC。
官方稱,此次收購由UniswapLabs進行,對Uniswap協議、Uniswap治理或UNI代幣沒有影響。[2022/6/22 4:44:06]
流動性(Liquidity - L)
乘積固定的交易模型,滿足資金池中的兩種代幣金額滿足:x*y = K。如果設定K=L^2的話,x*y = L^2。L就是我們說的流動性。由乘積固定的交易模型得出如下的公式:

在已知L和sqrt(P)的情況下,也能推導出資金需求量x和y。

通過公式6.6,在流動性不變的情況下(不添加刪除流動性),流動性可以看成是單位“價格波動”的y資金量的變化。”價格波動“打上引號是因為事實上是sqrt(P)的變化。

SupraOracles與Unique Network達成戰略合作,幫助創作者推出NFT市場:10月11日消息,SupraOracles與可擴展NFT區塊鏈Unique Network近日達成戰略合作伙伴關系,幫助創作者推出自己的NFT市場。未來,雙方將在跨鏈NFT交互中發現更多的可能性并探索元宇宙。[2021/10/11 20:20:51]
這個是uniswap V3核心公式(6.7),用相對值(資金和價格相對值)來計算流動性。所謂的流動性,就是單位“價格變化”的資金量。在一定的交易量的情況下,如果流動性好,價格變化就小,流動性不夠的話,價格波動就大。

特別注意的是,一個區間上的流動性和V2的普適的流動性不同。一個區間上的流動性,重點在“區間上”。不同區間的流動性沒有可比性。V2的流動性和區間上的流動性的區別如下圖:

V2的流動性是“普適”的,在所有價格點上流動性相同。V3的流動性是由一系列不同區間上的流動性組成。相對來說,在當前價格左右的流動性比較高。流動性提供者LP只有提供了可供交易的流動性才能獲取交易費。為了獲取更多的交易費,為了提高資金的利用率,流動性提供者會將資金提供在合理的價格波動范圍內。也就是說,在某個區間swap交易產生的手續費,只有該區間流動性提供者才能獲取手續費。為了計算每個區間獲取的手續費,引入了Tick的概念和計算方法。
Tick
在區間上提供流動性,帶來很多復雜的情況:區間和區間的重疊覆蓋。因為不同區間的流動性沒有可比性,某個交易費并不能混入到流動資金中,等刪除流動性時候一并提取。為了解決這個問題,uniswap V3引入了Tick的概念。交易費用實時結算并單獨記錄,并不混入流動資金中。雖然整個區間和區間的流動性沒有可比性,但是,在具體的某個價格點上(一個價格片上),流動性是可比較的。uniswap V3將整個價格范圍(負無窮到正無窮)分成一個個的Tick(價格點):
MakerDAO發起有關添加UNI-V2-DAI-USDC為抵押品等投票:金色財經報道,據官方博客消息,MakerDAO治理促進者已代表MakerDAO授權的參與者將一系列治理投票納入投票系統。具體包括:將UNI-V2-DAI-USDC(UniswapV2 DAI-USDC LP代幣)添加為抵押品;將UNI-V2-ETH-USDT(UniswapV2 ETH-USDT LP代幣)添加為抵押品;在Starkware上為dYdX創建多個Oracle等。[2021/2/2 18:39:39]

后一個價格點的價格是前一個價格點價格基礎上浮動萬分之一。

每個Tick也有一個唯一的序號。區間(Position)可以由兩個Tick表示。邏輯上交易手續費可以一個個的Tick計算,并在每一個Tick上根據流動性的占比進行交易分配。先看看一個Tick范圍的swap的計算。
Tick內的SWAP
假設有一個很小的量的y,需要swap為x。通過6.13的公式,可以計算出因為y的變化導致的價格變化。

再利用6.15的公式可以算出換取的x的量。

動態 | Westernunion推出“安全轉移虛擬貨幣系統”專利:據CCNA的報道稱國際匯款企業Westernunion在美國專利局(U.S. Patent and Trademark Office)申請“安全轉移虛擬貨幣系統”。該系統為了確保用戶認證,導入了指紋,聲音,虹膜掃描等身體認證系統。[2018/7/6]
uniswap V3針對同樣的交易對設置了不同的交易費:0.05%,0.3%以及1% (還可以添加其他費率)。如果是從Y換取X,則在換取之前先扣除手續費再進行上述的交換。
在同一交易池中只支持一種費率。也就是說,在一個交易池中支持不同的價格區間,但是都是同樣的費率。如果需要添加同樣交易對的不同交易費的交易池,必須創建新的交易池。
接下來,深入講解一下 添加/刪除流動性以及交易費用的計算邏輯。
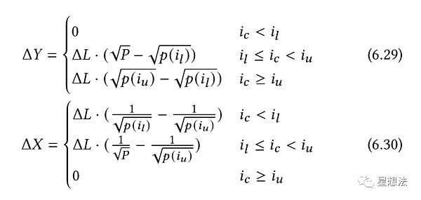
V3的添加/刪除流動性是當前價格情況下在某個區間添加或者刪除流動性。所有的流動性添加/刪除流動性采用如下的公式:

注意,價格變化并不是指區間的大小,而是在某個區間上提供流動性,相對當前價格,“需要相應資金變化”對應的價格變化。
分為三種情況,想要添加的流動性區間和當前價格的關系。
當前價格處于流動性價格區間 (il <= ic < iu)

因為價格在區間范圍內,如果價格滑動到il,則需要提供y資金。如果價格滑動到iu,則需要提供相應的x資金。所以,對于delta_Y來說的,價格變化為sqrt(P) - sqrt(p(il));對于delta_X來說,價格變化為1/sqrt(P) - 1/sqrt(p(iu))。
當前價格低于流動性價格區間

因為當前價格遠低于il,即使從當前價格向iu滑動,也只需要x的資金,不需要y的資金。所以,在這種情況下,delta_Y = 0。因為從il滑向iu需要整個區間的x的資金,對于delta_X來說,價格變化為1/sqrt(il) - 1/sqrt(p(iu))。
當前價格高于流動性價格區間
和第一種情況類似,不重復分析了。
Swap交易費用
uniswap最復雜的邏輯是計算交易費用并分配。在添加和刪除流動性之前需要將相應的交易費用提取。
Tick上的總流動性
在某個Tick上可以存在多個區間。在計算交易費用時,需要平攤這些費用給所有在這個Tick上多個區間的總的流動性。在每個區間的邊界的Tick上記錄下delta_L(所有以這個Tick為邊界的區間的流動性總和)。
存在一個全局狀態:liquidity,保存當前價格對應Tick的流動性總和。當價格波動,穿過某個Tick時,會進行流動性的增加或者減少(取決于價格波動方向)。舉例來說,價格從左到右穿過區間,當穿過區間的第一個Tick時,流動性需要增加,穿出最后一個Tick時,流動性需要減少,中間的Tick都沒有流動性的增加和減少(delta_L為0)。

區間(Position)上的交易費用率
計算一個區間上的交易費用率,采用總的費用率減去區間外的費用率的方法。在一個區間的邊界Tick上記錄feeGrowthOutside。所謂的feeGrowthOutside,就是“另外”一個方向上總的費用率。另外的一個方向是相對穿過當前Tick的方向而言。當價格從左到右穿過一個Tick,feeGrowthOutside指的是Tick左邊所有區間的費用率。簡單的說,就是價格要去方向的相反方向所有區間的費用率。feeGrowthOutside用fo表示。因為fo是一個Tick的兩個方向的總的費用率,兩個方向的費用率的總和肯定是等于fg(全局的費用率)。所以當穿過一個Tick時,這個Tick上的fo要進行翻轉:

當一個區間創建時,區間邊界上Tick的fo需要初始化:

如果當前的價格大于Tick的價格時,因為即使當前價格在設置的區間內,但是之前費用也不會分到,所以,可以簡單的假想為所有的費用發生在Tick價格之下,也就是fo=fg。如果Tick的價格大于當前價格,價格還沒有穿過Tick,因為假設了之前所有發生的費用發生在Tick價格之下,Tick之上是沒有費用的,所以fo=0。在理解了這些邏輯的基礎上,在swap的過程中,隨著價格的波動,一個區間上,超過最高Tick的費用率以及低于最低Tick的費用率可以用如下的方式計算:

以低于最低Tick的費用率的計算為例,如果ic>=i (當前的價格是高于最低Tick的),低于Tick的所有的費用率就是fo(定義如此)。如果ic<i的情況下,fo記錄的是高于Tick的所有費用率,所以需要翻轉,即fg - fo。在獲取了一個區間外的所有費用的情況下,計算本區間的費用率:

獲取的費用率的基礎上,用費用率乘以區間的流動性可以計算出該區間收取的費用。
uniswap V3版本核心思想是流動性集中。流動性提供者可以在某個區間提供流動性,提高資金使用率。在某個區間獲取的交易費,由所有在該區間的流動性提供者均分。uniswap V3設計了區間粒度-Tick,并且推導了流動性添加/刪除以及費用計算的過程。在之基礎上,uniswap V3也更新了價格預言機的實現。
3月29日,在以《RNDR渲染網絡:引領NFT加密藝術浪潮的GPU計算平臺》為主題的AMA中,Huobi Global NFT板塊項目 RNDR Network 發起人 Jules Urbach.
1900/1/1 0:00:00DeFi周刊是金色財經推出的一檔每周DeFi領域的總結欄目,內容涵蓋本周重要的DeFi數據、DeFi項目動態等.
1900/1/1 0:00:00金色財經聯合歐易OKEx向用戶推出K線基礎視頻,用戶將通過視頻學習K線相關知識,方便用戶了解行情走勢.
1900/1/1 0:00:00數字經濟和區塊鏈時代,究竟能給未來帶來什么?有人說能推動平臺經濟,有人說能幫助市場更加去中心化,有人說能夠幫助政府更好的管控,有人說能幫助“價值”更好的通過網絡傳遞等等.
1900/1/1 0:00:00文章系金色財經專欄作者幣圈北冥供稿,發表言論僅代表其個人觀點,僅供學習交流!金色盤面不會主動提供任何交易指導,亦不會收取任何費用指導交易,請讀者仔細甄別防上當.
1900/1/1 0:00:00比特幣將從根本上改變投資者估值公司的方式。其先進的貨幣技術是一種根本的范式轉變,這將使許多金融“專家”感到困惑。我們當前的美元貨幣體系,完全建立在不斷增長的債務基礎上.
1900/1/1 0:00:00