BTC/HKD-1.89%
ETH/HKD-2.14%
LTC/HKD-1.41%
ADA/HKD-3.78%
SOL/HKD-2.45%
XRP/HKD-3.22%導語
本文為QuarkChain創始人兼CEO周期博士為其擔任顧問的項目提供的一套提高資金率的原理設計。目的在于分享DeFi設計思想并同更多DeFi愛好者進行交流,周期博士首先從對Uniswap的資金利用公式出發,分析了Uniswap采用的提高單個交易對資金利用率的方法,然后在這個基礎上設計了更多個幣種構建集合資金池的流動性原始方案,并分析了這種方式能夠帶來的優點如更高的資金利用率,更低的Gas和更高的LP回報。歡迎就本文的模型設計同周期博士進行交流。UniswapV2的簡要回顧
UniswapV2是最受歡迎和最成功的DEX,以交易對形式,通過曲線對成對資產進行定價并進行兌換,其原理如下:

ENS開發負責人:以太坊已支持CCIP讀取與ENS通配符解析解決方案:3月14日,ENS開發負責人Nick Johnson在推特上表示,以太坊已支持CCIP讀取與ENS通配符解析解決方案。據悉,跨鏈互操作協議(CCIP)為ENS采用的跨鏈解決方案,旨在支持在二層網絡上發行鏈上的域名。[2022/3/14 13:55:55]
其中x和y是池中資產的余額。給定Δx,為了將Δx交換為Δy,UniswapV2將執行以下計算

這樣兌換后仍然滿足xy=k不變量,價格為

奇虎360公開“基于聯盟區塊鏈的標識解析方法”專利:8月30日消息,北京奇虎科技有限公司、中國信息通信研究院日前聯合公開一種“基于聯盟區塊鏈的標識解析方法、裝置、存儲介質及服務器”專利,申請日期為2021年4月29日,申請公布號:CN113315811A。天眼查App顯示,該專利屬于計算機技術領域。方法包括在第一對外節點接收到標識解析請求的情況下,從第一對外節點對應的本地數據庫中查詢是否存在與標識解析請求中的標識符對應的IPFS哈希值。
若未查詢到IPFS哈希值,則基于標識解析請求向聯盟區塊鏈中除第一對外節點之外的其他節點發送第一查詢請求;接收由聯盟區塊鏈中響應于第一查詢請求的節點發送的IPFS哈希值,并基于IPFS哈希值通過第一對外節點訪問IPFS服務,以獲取IPFS哈希值對應的標識解析信息由此可有效提高對標識解析過程的安全性,保證通過標識解析得到的數據不易被篡改。(郵箱網)[2021/8/30 22:45:51]
UniswapV2的一個很大的特點是無需授權-任何人都能夠通過提供代幣創建一個兩種資產的交易對。例如,通過在池中提供x=1ETH和y=3000USDT,LP可以創建一個交易對,ETH最初定價為3000USDT/ETH。盡管UniswapV2獲得了廣泛采用,但UniswapV2的關鍵問題是其資金效率低,因為流動性分布在價格上。這意味著如果兩種資產的價格集中在一個相對較小的范圍內,池中沉淀大部分資產并沒有參與兌換,從而導致高滑點和LP較低的手續費收益。將流動性集中的UniswapV3
Etherscan現支持以太坊域名服務ENS反向解析:5月12日消息,以太坊域名服務(Ethereum Name Service,簡稱ENS)發推稱,Etherscan目前支持ENS反向解析。ENS反向解析可使用戶的ENS域名成為跨DApp的以太坊賬戶的便攜式用戶名。除Etherscan外,使用此功能的其他DApp包括Uniswap、Opensea、Aavegotchi和Snapshot Labs等。目前,要使用該服務,用戶必須手動啟用反向解決,之后將更改為自動啟動;DApp須在其UI代碼中使用PR。
注:正向解析(Forward resolution,FR)是將一個ENS域名解析到以太坊地址等資源,反向解析(Reverse resolution,RR)是指將一個以太坊地址解析到一個ENS域名。[2021/5/12 21:52:40]
UniswapV3通過一種稱為集中流動性的技術改善了低資金效率問題,該技術使用以下曲線:
V神:預測市場的結果解析層和市場層正在分離:V神在推特表示,預測市場正在分離:結果解析層(如果發生某些事件,給1美元的代幣,沒有發生返回0代幣)與市場層(如何交易這些代幣)分離。[2020/9/26]

其中兌換的實際價格在范圍,p_a<p_b。如果設置p_a=0和p_b=+∞,V2本質上是V3的特例。在提供流動性時,UniswapV3會向LP詢問流動性的價格范圍。

這允許LP將流動性集中在目標價格范圍內,從而實現更高的資金效率。以穩定幣兌換為例,從下圖中,95%的流動性集中在價格區間,實現了比UniswapV2約2000倍的資金效率。由于流動性集中,兌換USDC/USDT的滑點遠低于V2,因此對于池中提供的相同數量的資產,相比V2LP可以收到更多的手續費獎勵。
聲音 | 魯春叢:推動區塊鏈的創新技術在標識解析中深度應用:據中國信通院官網,8月15日,在中國工業互聯網標識大會上,工業和信息化部信息通信管理局副局長魯春叢演講表示,大力推進標識解析技術,標準研制,搭建規模性基礎技術創新以實驗的環境,聯合產學研用各方面力量,促進新型標識體系的研制,推動區塊鏈的創新技術在標識解析中深度應用。據介紹,標識解析體系是工業互聯網的核心基礎設施,是新一代互聯網的“中樞神經”。[2019/8/18]

由于流動性集中,UniswapV3的TVL增長非常順利,3個月左右達到2.5B。集中多資產的流動性
UniswapV3只為一對資產提供集中流動性。那么一個自然的問題是:「如果在一個資金池中集合多個資產會怎么樣?」通過集中更多資產的流動性,我們可以實現更高的資金效率,因為資產可以共享一個池中的流動性而不是各自的流動性。相比之下,在V3中,由于直接兌換的流動性不足,兌換可能會被路由到多個交易對。例如,交換TUSD->BUSD可能會被路由到TUSD->USDT->BUSD,這意味著交易者將支付更多的費用,滑點也隨之提高。所以核心問題是「多資產流動性集中的曲線應該是怎樣的?」遺憾的是,答案并不簡單,而是更為復雜。讓我們從從集中流動性能夠獲益最多的穩定幣兌換開始。假設兩個穩定幣的價格在之間,我們可以將V3曲線簡化為

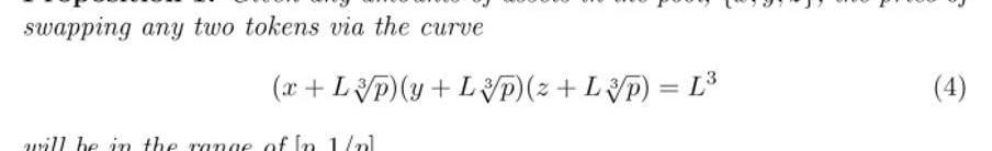
其中=。簡化曲線的好處是它有點對稱。首先,讓我們先添加第三個穩定幣交易對,得到以下等式

請注意,三個資產的方程與兩個資產方程相比有一些細微變化:●等號右邊是L3而不是L2●等號左側我們使用p的立方根,而不是使用p的平方根。依靠這個等式,我們有一個關鍵結果:

命題1.給定池中任意數量的資產,{x,y,z},通過上圖曲線交換任意兩個代幣的價格會在的范圍內示例:三個幣種均勻分布的情況●3個穩定幣,取小數點后6位●x,y,z=,即每個資產在池中各有1M●p=0.999,即價格區間為由于三項相等,我們有:L=x/(1—?0.999)=2998.99977x請注意,與xy=k曲線相比,我們的資金效率約為2000倍。用10,000e6的代幣0交換代幣1將返回9999.96e6T1,曲線看起來像

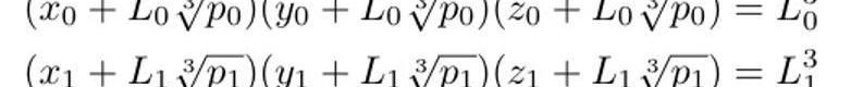
●多個價格區間。例如,假設我們有p_0<p_1,LP可以選擇其流動性的價格范圍之一。因此,該算法將聯合求解以下方程以進行兌換。

●不同資產的不同價格范圍,其中的等式可能看起來像

結束語
集合資產的流動性是DEX中最熱門的話題之一,因為它具有以下好處:●更高的資金效率●降低滑點●更多LP收益UniswapV3是第一個為成對資產提供集中流動性的DEX。對于穩定幣兌換,資金效率可以提升至2000倍。我們也設計出了一個可以集中超過三個資產的流動性池:●在多種資產之間共享流動性●非常適合穩定幣兌換●可以成為同一資產穩定幣互換市場中的競爭性產品●用Solidity編寫的智能合約
Tags:SWAPUniswapUNIENSKingdomswapuniswap幣uni幣最新消息Aliens Musk
過去兩周加密領域最熱的莫過于Loot,前些日子還是諸如CryptoPunks這些頭像熱,瞬間就切換到文字NFT熱。這是加密世界的節奏,讓人眼花撩亂。關于Loot,已經有很多朋友都有不少了解.
1900/1/1 0:00:00播報數據由Greeks.liveDataLab格致數據實驗室和Deribit官網提供。主流幣本周前半段拉升均超過10%,后半段進入橫盤。整體價格走勢雖上升,但是IV反而是持續大幅下降.
1900/1/1 0:00:00Odaily星球日報譯者|Moni Loot是目前最火爆的NFT游戲之一,因此也出現了不少衍生項目,如果你已經有了Loot,或許可以試試這些有趣的項目,但需要注意的是.
1900/1/1 0:00:009月24日中午,名為“街舞怪才”的用戶在淘寶阿里拍賣平臺拍賣編號為NO.1的杭州亞運會數字火炬數字藝術品。有用戶出價至大約315萬人民幣.
1900/1/1 0:00:009月16日,加密金融服務提供商貝寶金融宣布在新加坡設立業務總部,成立貝寶亞洲,并任命于珊珊擔任首席執行官。此舉將進一步增強貝寶金融作為全球重要加密金融參與者的角色,并推進貝寶金融的監管合規工作.
1900/1/1 0:00:00來源:Twitter作者:A16z合伙人JonLai當游戲中的真錢交易不頂用時,為什么邊玩邊賺模式卻可行?AxieInfinity、暗黑破壞神3、星戰前夜、反恐精英這些游戲如何能夠相互借鑒?本貼.
1900/1/1 0:00:00