BTC/HKD+0.95%
ETH/HKD+1.03%
LTC/HKD+0.41%
ADA/HKD-0.08%
SOL/HKD+0.55%
XRP/HKD+0.19% 
之前UniswapV3推出的時候,不少小伙伴們在想:Curve會不會被UniswapV3干掉。如今CurveV2出來了。Curve非但沒有被干掉,且其前進的步伐更進一步。從目前看,Curve的TVL達到91.7億美元,接近于第一位的AAVE,按照當前趨勢,Curve的TVL在未來一段時間有一定的概率超過AAVE位居首位。

目前UniswapV3的TVL是16.1億美元,UniswapV2為44.2億美元,僅從鎖定資產總量看,距Curve有較大距離。雖然TVL不能代表全部,但從一個側面說明了Curve發展的迅速,它對于資金的吸引力在增強,之前不少人擔心Curve會被UniswapV3干掉的局面并沒有發生。Uniswap的V3更適合專業的做市商
要想理解CurveV2的迭代,理解Uniswap的迭代也有幫助。在UniswapV2的設計中,其所有LP的做市模式是無差別的,唯一差異是每個LP因為其提供的做市資金不同而產生份額比例的不同。在這種設計機制下,計算貢獻的主要方式是資金和時間,資金份額越大,提供時間越長,收益越大。因此,LP增加其收益方法是,增加其份額比例和提供時間。UniswapV3則打破了這種設計,引入了競爭性的模式。對于LP來說,要想獲得更大的收益,不僅關乎投入的資金量,也關乎LP的策略設置。在這種情況下,對于專業的LP提供商有利,對于非專業的普通用戶或大資金提供者不一定有利。在UniswapV3的流動性提供機制設計下,LP可以將其提供流動性的資金進行個性化設置,將其資金自定義地置于某個區間,以增大其資本的利用率,同時獲得了更高的杠杠,有利于獲得更大的收益,不過,同樣不可避免的是,也增加了相應的無常損失的風險。總結來說,當LP將其資金聚集在當前市場匯率的周圍時,本質上是對市場趨勢的一種判斷。流動性聚集區間越窄,可獲得的杠杠越高,收益也可能越高,但如果波動過大,則無常損失也會相應增大。因此,會有大量的LP不斷進行各種策略的探索,從目前看,大量的資金都匯集在50%的波動性范圍之內。
Beosin:sDAO項目遭受攻擊事件簡析:金色財經報道,根據區塊鏈安全審計公司Beosin旗下Beosin?EagleEye 安全風險監控、預警與阻斷平臺監測顯示,BNB鏈上的sDAO項目遭受漏洞攻擊,Beosin分析發現由于sDAO合約的業務邏輯錯誤導致,getReward函數是根據合約擁有的LP代幣和用戶添加的LP代幣作為參數來計算的,計算的獎勵與用戶添加LP代幣數量正相關,與合約擁有總LP代幣數量負相關,但合約提供了一個withdrawTeam的方法,可以將合約擁有的BNB以及指定代幣全部發送給合約指定地址,該函數任何人都可調用。而本次攻擊者向其中添加了LP代幣之后,調用withdrawTeam函數將LP代幣全部發送給了指定地址,并立刻又向合約轉了一個極小數量的LP代幣,導致攻擊者在隨后調用getReward獲取獎勵的時候,使用的合約擁有總LP代幣數量是一個極小的值,使得獎勵異常放大。最終攻擊者通過該漏洞獲得的獎勵兌換為13662枚BUSD離場。Beosin Trace追蹤發現被盜金額仍在攻擊者賬戶,將持續關注資金走向。[2022/11/21 7:53:09]

Beosin:ULME代幣項目遭受黑客攻擊事件簡析:金色財經報道,10月25日,據Beosin EagleEye 安全預警與監控平臺檢測顯示,ULME代幣項目被黑客攻擊,目前造成50646 BUSD損失,黑客首先利用閃電貸借出BUSD,由于用戶前面給ULME合約授權,攻擊者遍歷了對合約進行授權的地址,然后批量轉出已授權用戶的BUSD到合約中,提高價格ULME價格,然后黑客賣掉之前閃電貸借出的ULME,賺取BUSD,歸還閃電貸獲利離場。Beosin安全團隊建議用戶用戶取消BUSD對ULME合約的授權并及時轉移資金減少損失。[2022/10/25 16:38:21]




安全團隊:Audius項目惡意提案攻擊簡析,攻擊者總共獲利約108W美元:7月24日消息,據成都鏈安“鏈必應-區塊鏈安全態勢感知平臺”安全輿情監控數據顯示,Audius項目遭受惡意提案攻擊。成都鏈安安全團隊簡析如下:攻擊者先部署惡意合約并在Audius: Community Treasury 合約中調用initialize將自己設置為治理合約的監護地址,隨后攻擊者調用ProposalSubmitted 提交惡意85號提案并被通過,該提案允許向攻擊合約轉賬1,856w個AudiusToken,隨后攻擊者將獲得的AudiusToken兌換為ETH,總共獲利約108W美元,目前獲利資金仍然存放于攻擊者地址上(0xa0c7BD318D69424603CBf91e9969870F21B8ab4c)。[2022/7/24 2:34:31]

從上面的圖中,我們可以看出,絕大多數的流動性都往當前匯率價格附近聚集,且有些流動性的聚集度非常高。通過流動性聚合,UniswapV3本質上是引入了LP做市的競爭。會玩的LP可以根據市場的波動將其流動性進行合理調整,以獲取更大的收益;而有些LP調整如果沒那么及時,其收益就會降低,甚至如果市場價格波動到其價格范圍之外,其流動性資金也無法賺取費用。當然,如果LP設置的價格區間過窄,無常損失也會更大。收益越高風險越大,這一點并沒有變化。但如果設置不到位,收益變小,甚至沒有收益。因此,根據市場的變化,需要講究策略。在這種情況下,作為普通LP可能越來越無法跟專業的LP競爭,在交易市場總量相對的情況下,專業LP會賺取更多的收益。因此,可能會催生更多的做市策略商,它們的資金不一定多,但如果其策略足夠好,它可以幫助其他非專業的LP進行做市管理。普通LP可以將其資金存入到專業做市管理商的合約中,由這些專業的策略商聚合后進行統一管理,包括如何選擇價格范圍、重置的頻率等。在UniswapV3的設計下,大資金不一定收益就更高,策略的權重在上升。CurveV2也適合普通LP的參與
慢霧:Harmony Horizon bridge遭攻擊簡析:據慢霧安全團隊消息,Harmony Horizon bridge 遭到黑客攻擊。經慢霧 MistTrack 分析,攻擊者(0x0d0...D00)獲利超 1 億美元,包括 11 種 ERC20 代幣、13,100 ETH、5,000 BNB 以及 640,000 BUSD,在以太坊鏈攻擊者將大部分代幣轉移到兩個新錢包地址,并將代幣兌換為 ETH,接著將 ETH 均轉回初始地址(0x0d0...D00),目前地址(0x0d0...D00)約 85,837 ETH 暫無轉移,同時,攻擊者在 BNB 鏈暫無資金轉移操作。慢霧 MistTrack 將持續監控被盜資金的轉移。[2022/6/24 1:28:30]
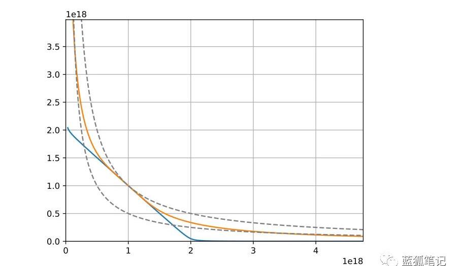
CurveV2跟UniswapV3在聚集流動性和提升資本效率方面目標相同,但具體方法不同,最終對于不同主體的影響也不同。*CurveV2價格曲線的兼容性CurveV2在兼容性上表現不錯。下面是CurveV2白皮書上的圖:

慢霧:Spartan Protocol被黑簡析:據慢霧區情報,幣安智能鏈項目 Spartan Protocol 被黑,損失金額約 3000 萬美元,慢霧安全團隊第一時間介入分析,并以簡訊的形式分享給大家參考:
1. 攻擊者通過閃電貸先從 PancakeSwap 中借出 WBNB;
2. 在 WBNB-SPT1 的池子中,先使用借來的一部分 WBNB 不斷的通過 swap 兌換成 SPT1,導致兌換池中產生巨大滑點;
3. 攻擊者將持有的 WBNB 與 SPT1 向 WBNB-SPT1 池子添加流動性獲得 LP 憑證,但是在添加流動性的時候存在一個滑點修正機制,在添加流動性時將對池的滑點進行修正,但沒有限制最高可修正的滑點大小,此時添加流動性,由于滑點修正機制,獲得的 LP 數量并不是一個正常的值;
4. 隨后繼續進行 swap 操作將 WBNB 兌換成 SPT1,此時池子中的 WBNB 增多 SPT1 減少;
5. swap 之后攻擊者將持有的 WBNB 和 SPT1 都轉移給 WBNB-SPT1 池子,然后進行移除流動性操作;
6. 在移除流動性時會通過池子中實時的代幣數量來計算用戶的 LP 可獲得多少對應的代幣,由于步驟 5,此時會獲得比添加流動性時更多的代幣;
7. 在移除流動性之后會更新池子中的 baseAmount 與 tokenAmount,由于移除流動性時沒有和添加流動性一樣存在滑點修正機制,移除流動性后兩種代幣的數量和合約記錄的代幣數量會存在一定的差值;
8. 因此在與實際有差值的情況下還能再次添加流動性獲得 LP,此后攻擊者只要再次移除流動性就能再次獲得對應的兩種代幣;
9. 之后攻擊者只需再將 SPT1 代幣兌換成 WBNB,最后即可獲得更多的 WBNB。詳情見原文鏈接。[2021/5/2 21:17:59]
藍線是其穩定幣兌換曲線,是CurveV1的兌換曲線,而黃線是更通用的代幣兌換曲線,是CurveV2的兌換曲線。從這條曲線,我們可以看到它的兼容性:一方面,兼顧了V1的穩定幣兌換,同時還兼顧流動性的尾部,由此應對匯率的快速變化。相對而言,在UniswapV3,絕大部分的流動性會集中在于盤口附近,尾部的流動性可能極小,我們在上面的實例中可以看到,這在事實上已經發生。*CurveV2的自動化做市上面我們提到,UniswapV3也可以改變其流動性聚集點,不過,它主要是通過LP們對市場的判斷進行主動化的管理來達成。而CurveV2則是根據預言機進行自動化的調整。這使得普通的LP參與CurveV2更方便,而UniswapV3正如上面提到的,逐漸變成了比拼LP策略的陣地,更適合專業的LP做市商。比較來說,UniswapV3是個性化的管理,而CurveV2是自動化的管理,這有點像互聯網時代的個性化設置和自動化推薦之間的關系。互聯網web1.0時代,用戶是受眾,無法上傳內容或個性化管理自己的偏好;而2.0時代用戶可以上傳內容,可以進行個性化設置;而如今則進入智能推薦時代,以算法自動化推送為主,這更符合大多數用戶“懶”的需求。從UniswapV3到CurveV2也一種類似的感覺。那么,CurveV2如何實現其自動化做市?*不斷變化的新曲線CurveV2為什么可以實現自動化的做市管理?可以讓LP無須主動設置即可實現其流動性的再平衡?CurveV2的價格曲線并不是固定不變的。它會不斷通過內部預言機的方式來改變其流動性聚集點,一方面可以實現更好的流動性和提升資產效率,也有利于減少LP的無常損失。也就是說,CurveV2的“內部價格預言機”在其流動性聚集點遷移方面起到重要作用。Curve的內部價格預言機機制為EMA,意為指數移動平均線,它會根據Curve中的歷史價格和最新交易價格等綜合得出參考價格。有了EMA,CurveV2可以構建新的價格曲線,使得流動性重新聚集在盤口價格附近。當然,什么時候進行流動性聚集的再平衡,也需要閥值。它會根據EMA來不斷獲取內部匯率的移動,并更新Xcp的變量,以此來衡量波動率。如果匯率波動超過一定的閥值,則會更新曲線,產生新的流動性聚集點,由此保護LP的利益。這對Curve2的所有LP都是一樣的,不用主動設置其流動性的價格范圍,由系統根據其預言機價格自動將LP的流動性聚集到盤口價格附近。由于是通過自動再平衡來調整流動性的聚集,不同LP之間的流動性只有數量和提供時間差異,沒有其他方面的差異,這跟之前的流動性提供沒有區別,因此其LP份額代幣依然可以是同質化的代幣,這有利于其可組合性。而UniswapV3由于不同LP做市價格范圍不同,只能用非同質化的代幣NFT來表達。在UniswapV3,LP除了自行設置價格范圍,還可以自定義手續費用。而在CurveV2,這也是以自動化方式來解決。如果市場價格接近于流動性聚合的中點位置,其手續費最便宜,如果偏移越大,其費用會越高。總結來說,從LP做市的角度,UniswapV3越來越適合專業的LP來玩,相對而言,普通的LP較難跟上其調整的節奏,如果沒有及時調整,很難爭取到其做市的收益。這也催生了專業的LP,可以為普通的LP提供做市管理的服務。CurveV2則不用考慮這一點,只需要將資金注入到其流動性池,剩余的事情交由協議來完成,協議會根據價格的波動,不管構建新的價格曲線,將流動性聚集在交易價格附近。跟CurveV1相比,CurveV2的價格均衡點會不斷移動,會產生不斷變化的曲線,就像是形成了一個虛擬的面。這種不斷變化的曲線,使得流動性永遠朝匯率附近聚集,提升資本效率,并減少了無常損失,同時對于用戶來說,也可以降低滑點。假設Sushiswap采用Curve2的模式
在目前的競爭態勢下,Sushiswap采用UniswapV3的做市模式,不如采用CurveV2的做市模式,從某種意義上,CurveV3更貼近DEX內在的發展趨勢。當然UniswapV3也有其靈活性的特點,也有不少優勢。假設SushiSwap采用了CurveV2的做市模式,鑒于其目前的用戶數和多鏈平臺的策略,也許通過它可以更接近于Uniswap。從UniswapV3的迭代,再到CurveV2的迭代看,未來的DEX格局還存在很大的變數。還要考慮到一點,就是DeFi目前還處于非常早期的階段,如逆水行舟,不進則退。我們可以來看看,DeFi上最重要的領域之一借貸市場的情況:去年六月,MakerDAO和Compound的用戶數占據整個DeFi借貸市場的絕大部分,而AAVE僅有10%左右,如今,AAVE用戶數占據市場的57%以上,而MakerDAO和Compound分別下降到19%和24%左右。

DeFi的未來版圖不會是固定的,而是充滿無限可能性。
Tags:CurveCURSWAPUNISBTCCURVE價格CurrentCoinPancakeSwapunisat錢包怎么充值手續費
本期,瑞函小姐姐邀請到顏值超高的星球日報Odaily創始人Mandy小姐姐做客《大咖面對面》,一起聊聊媒體視角下區塊鏈的起起伏伏~DC漫畫中超人就職的報社名字是“星球日報”.
1900/1/1 0:00:00對于加密企業/團隊來說,監管的收緊可能會導致嚴厲處罰,包括罰款、限制等。為避免這種情況,必須及時做出調整,遵守FATF的規定.
1900/1/1 0:00:00那么問題來了,怎么證明買家擁有這個作品呢?第一個可以證明的就是這個拍賣網站。由于網站上存了NFT代幣和圖片的關聯關系,同時也存了這個圖片.
1900/1/1 0:00:00前言“我TonyTao有一個夢想,就是在敦煌風化之前盡早去看一次!”為了實現TT的夢想,同時為了在實習生走之前給她留下一個粉紅色的回憶,我們踏上了去往敦煌的旅程.
1900/1/1 0:00:00Coinbase首席執行官BrianArmstrong將自托管和DeFi列為Coinbase的優先事項。Armstrong表示,DeFi是“行業發展的未來”.
1900/1/1 0:00:00作者|谷昱01早期入局者相對于大部分原生的加密風投機構,a16z最初是面向互聯網領域的風投機構,2009年成立后即投中Facebook、Twitter、Groupon、Skype等知名企業.
1900/1/1 0:00:00