BTC/HKD-0.44%
ETH/HKD-1.16%
LTC/HKD-1.12%
ADA/HKD-2.01%
SOL/HKD-1.18%
XRP/HKD-0.98%編者按:本文來自IPFS原力區,星球日報經授權發布。Filecoin最近利好頻出,主要包括三件事:灰度公司3月17日正式宣布推出FIL信托產品、Filecoin“雙花”鬧劇以及SAFT六月公募到期。對此,我們一一展開分析。一、Filecoin“雙花”鬧劇
那么這次Filecoin“雙花”事件到底是如何?前因后果又是如何?我們先回顧一下事情發生經過。


要完整了解本次“雙花”事件,我們要先知道什么是雙花攻擊。何為雙花攻擊?
雙花,即雙重支付,指的是在數字資產體系里,由于數據的可復制性,使得系統可能存在同一筆數字資產因不當操作被重復使用的情況。簡而言之,一筆數字資產重復支付,一筆錢被花掉兩次或多次,如支付寶錢包里有100塊錢,消費了100元,結果支付寶出了bug,這一筆錢并沒有被銀行同步,還留在銀行卡里,于是我們又能拿著100塊錢去繼續消費,這就屬于雙花問題。雙花會導致“通貨膨脹”,使加密資產被貶值,一般該情況出現在中心化交易所較多。以區塊鏈的加密資產為例:2018年5月,某黑客針對BitcoinGold密幣交易所的基礎設施發動了多次“雙花”攻擊,并設法攫取了價值1800萬美元的BTG,直接導致整個屬于BTG的市場需要再消化這1800萬美元的BTG,間接會使BTG單價貶值。為了更好的回顧這次Filecoin,我們需要了解主流的雙花攻擊類型:51%攻擊和競賽攻擊。51%攻擊:攻擊者通過控制超過50%的哈希算力,這使他們可以刪除或修改交易的順序。從而實現多次發送交易,該情形在比特幣網絡上目前難以實現,難以符合經濟收益。例如:我們支付寶的銀行卡只有100元,我們對外已經消費了100元,然后通過控制銀行主腦來刪除該記錄,然后銀行沒有我的交易記錄,但實際上支付寶已經使用了該100元,所以我的銀行卡仍然還有100元,故可以繼續消費。BTG雙花攻擊就是51%攻擊的類型,主要是因為算力規模較小,當時黑客只需支付3400美元皆可順利完成攻擊。競賽攻擊:使用相同的資金連續廣播兩個沖突的交易,但只有一項高Gas費的交易得到確認。攻擊者的目標是通過驗證對他有利的交易來使另一個支付無效,如此以來相同的資金發送到他控制的地址。例如:A向B轉賬100元,同時也使用一樣的Nonce值發送另外一筆向B轉賬100元。在區塊鏈世界,同一Nonce值只能確認一筆交易,因為第二筆Gas費更高會很順利轉賬給B100元,而第一筆因為第二筆的成果而認定為失敗,所以會返還給A100元,這樣以來,A和B各有兩個100元。本次鬧劇不存在“雙花”攻擊
灰度比特幣信托負溢價回升至40.17%:金色財經報道,Coinglass數據顯示,灰度比特幣信托負溢價回升至40.17%,以太坊信托負溢價回升至42.65%,ETC信托負溢價為70.21%,LTC信托負溢價為49.7%。本月,GBTC負溢價率一度高達45%。[2022/11/26 20:47:48]
而這次Filecoin“雙花”事件就是在混淆概念,這次不可歸咎為競賽攻擊,而是一場人為的操作失誤。從結果上看,以Filscan.io瀏覽器為例,該筆交易只有一筆轉賬成功。

61200枚FIL轉賬記錄,來源:Filscan.io,2021-3以官方解釋說到,“lotus團隊所知問題源自于有兩條消息有相同的發送者/收到者詳細信息、相同的Nonce但擁有不同的Gas參數——被包含在同一Tipset中。像這樣兩個類似的消息是非常常見的,比如以改變與消息的Gas費來替代消息就會形成這樣兩條類似的消息。這樣的情況會由Filecoin網絡安全、正確地處理,不會導致兩次轉賬:兩條消息中的一條會被執行,另一條被忽略”。官方解釋意思是,Filecoin主鏈之前就已經針對競賽攻擊針對做好正確的處理交易,并不會因為高Gas費的替代行為而出現雙花現象,所以這塊印證了Filscan.io的數據準確。那么該場鬧劇是如何引起?
灰度數字大盤基金添加MATIC:10月7日消息,灰度(Grayscale)表示,作為季度再平衡的一部分,灰度數字大盤基金(Grayscale Digital Large Cap Fund)添加MATIC,其它現有代幣組合包括BTC、ETH、ADA、SOL和AVAX。GSCPxE's Fund和Grayscale DeFi Fund’s Fund組成沒有變化。[2022/10/7 18:41:57]
官方很好歸納:“錯誤使用API。然而,根據人們對鏈的檢查方式,這會呈現出消息被處理了兩次的樣子。具體來說,有關交易所使用了一種錯誤的處理鏈狀態的方式——在tipset的每個塊上調用ChainGetBlockMessages,然后在這些消息上調用StateGetReceipt”。因為交易所調用錯了API接口,導致呈現出雙花現象,該現象不是Filecoin網絡本身的bug,而是方法上錯誤,同時官方指出應該以ChainGetParentMessages和ChainGetParentReceipts來記賬。同時交易所應以鏈上的真實數據源記賬,假若以某瀏覽器作為數據源,一旦其惡意修改數據,也會導致“中心化的惡意”雙花攻擊行為。總的來說,該場鬧劇總的來說是交易所的操作不當,從而使有心之人有意而為之。那么回過頭來,掀起了一場無需有的波浪,那么這次誰“雙花”了誰?下篇,我們會繼續分析灰度加倉FIL信托事件以及FilecoinSAFT六月公募到期。二、Filecoin并非減產,僅是SAFT6月投資者部分釋放結束
彭博社:美SEC迄今已收到 198 封關于灰度現貨BTC ETF主題的反饋信函:金色財經報道,據彭博社報道,據彭博社報道,自2021年10月以來,美國證券交易委員會(SEC)已收到198封關于灰度現貨BTCETF主題的反饋信函,僅在今年二月就收到了184封信函,主要來自于個人、匿名評論者、工程師、財務顧問、律師、高校教授和公司領導人等。據灰度首席執行官Michael Sonnen shein表示,其中很多信件都在支持灰度長期以來一直在表達的觀點,即應該批準現貨BTC ETF。[2022/2/19 10:02:16]
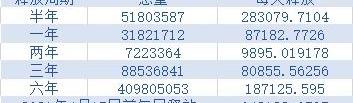
筆者曾在2月份《Filecoin冷門知識掃盲》有所披露,相較之前,4月15日后官方團隊釋放每日減少28萬FIL拋壓。

釋放規則梳理,來源:IPFS原力區,2021-02以上部分主要是包含SAFT、基金會、團隊、生態的釋放,在4月15日前,每天釋放64.8萬枚FIL;在4月15日之后每天約釋放36.5萬枚FIL。換言之,在4月15日后,每天釋放少了28萬枚FIL的拋壓。大量到期扇區從4月份開始
灰度MANA信托持倉增長0.26% 其余幣種未增持:美東時間7月1日,灰度信托持倉數據變化如下:
灰度MANA信托持倉量增加45386.3枚(+0.26%),總持倉量為17755327.35 MANA;
灰度BTC、ETH、ETC、BCH、LTC、BAT、LINK、FIL、LPT信托當日未增持,GBTC溢價率-10.53%、ETHE溢價率-5.29%、ETCG溢價率-20.47%、BCHG溢價率187.72%、LTCN溢價率575.67%。[2021/7/2 0:21:43]
不過值得注意是到期扇區,因為一旦到期后,無疑增加了市場流通量,會造成兩種影響:增加拋壓和扇區抵押。

Filecoin到期算力/PiB算力,來源:IPFS原力區,2021-03從2021年4月份開始有大量扇區到期,其中絕大部分是不可續期續期扇區,即便是有些為可續期算力,也有可能因為市場行為而自動釋放。5月份為到期扇區最高峰,本月最大可釋放近120萬枚FIL,折算每天平均釋放4萬枚FIL左右,不過總體而言比SAFT6月的少。
灰度資產管理總規模升至460億美元:金色財經報道,據官方推特消息,截至美東時間4月1日,灰度資產管理總規模升至460億美元。比特幣信托基金(GBTC)交易價格為每份50.87美元,較前一日上漲1.66%;以太坊信托基金(ETHE)交易價格為每份18.84美元,較前一日上漲5.31%。[2021/4/2 19:38:56]

3月22日數據顯示,全網規模3.49EiB,目前基線標準3.72EiB左右。按照現在目前每日30PiB增速預算,預計會在4月上旬達到基線標準,假如全網增速加快的話,說不定3月底也可到達,預期全網規模預期在3.8-3.9EiB。來源:Filscan.io,2021-3-21最近FIP-14正在火熱進行中,主要是針對V1扇區可擴展至540天。這樣一來可緩解全網規模不夠大時的算力下掉行為,從而更好地激勵礦工,把算力下掉延期到后期。一旦全網規模超過基線標準,下掉的算力對全網影響獎勵收益會比現階段小。對此,為了全網的切身利益礦工可關注以下投票網址:https://filpoll.io/poll/7,一旦通過礦工們可更好地讓全體礦工平移過渡。三、灰度FIL信托持倉1.6萬FIL,漲幅約46%
3月17日,灰度公司正式灰度推出BAT、LINK、MANA、FIL及LPT五個信托產品,其中FIL持倉數量不超過500個,平均價格50美金。這一波消息的大大刺激了市場,直接導致FIL單價一度高達97美金。后期,灰度也陸陸續續加倉,目前有1.6萬枚FIL,價值130萬美金。

灰度FIL信托持倉情況,來源:grayscale.co,2021-3-222月26日MANA、BAT和LINK正式納入灰度信托,對比前后其市場表現情況,截止目前MANA已經有3倍漲幅、LINK漲幅約20%、BAT漲幅140%;3月10日LPT信托基金成立,LPT截止目前已經實現6倍漲幅;3月15日FIL信托成立,截止目前FIL漲幅46%。總體而言,被納入灰度信托產品的數字資產,均有較大幅度的增長。GBTC負溢價,灰度信托吶喊失力?
3月10日,灰度比特幣信托GBTC連續9天負溢價后,灰度的母公司DCG表示計劃購買2.5億美元的GBTC。隨著比特幣價格越來越高,是否會有持續買盤會繼續托頂比特幣繼續攀升?假如難以持續,則GBTC會繼續負溢價比特幣價格。長而久之,則需要DCG繼續補倉GBTC進而涌入更多的資金。因為灰度最大的資產占比是BTC,一旦GBTC遭殃是否會涉及其他基金,甚至是否會影響其他FIL、BAT等?都知道帶上疑問思考。總的來說,最近利好大于利空,但是在這個情勢下需要我們如履薄冰的行走,才能更好的跨越牛熊。
Tags:FILOINCOINCOIfile幣未來價格GroestlcoinDTPL CoinAmberTime Coin
編者按:本文來自巴比特資訊,作者:王佳健,星球日報經授權發布。25日一早,起床的亞洲投資者們可能心都是涼的,瀑布洗臉.
1900/1/1 0:00:00Vol.01做投資一定要首先樹立正確的投資理念,這是一切的根源,其次做好倉位資金管理,保持良好的心態,賺了不要驕傲,虧了不要氣餒,以扎實的技術功底,在正確的道路指引下才能立足長遠.
1900/1/1 0:00:00播報數據由Greeks.live和Skew.com提供。以太坊在Fei的不利影響下,出現了比較強的拋壓,跌破2000美元后,并沒有終止跡象.
1900/1/1 0:00:00今天暴跌,終于可以加倉了,簡述兩句,之前已經詳解過這個行情會大概率發生,不能說全在內掌乾坤中,至少也八九不離十.
1900/1/1 0:00:00編者按:本文來自01區塊鏈,作者:劉夏、澤玲,Odaily星球日報經授權轉載。3月20日,在中國發展高層論壇2021年會上,央行數研所穆長春就數字人民幣如何實現“可控匿名”進行了詳細闡述,讓民眾.
1900/1/1 0:00:00編者按:本文來自鏈聞ChainNews,星球日報經授權發布。3月20日,CFTC公布了最新一期CME比特幣期貨周報,最新統計周期內BTC僅取得了不足2000美元的小幅上漲,不過在周期內行情一度創.
1900/1/1 0:00:00