BTC/HKD-1.51%
ETH/HKD-1.78%
LTC/HKD-1.46%
ADA/HKD-2.97%
SOL/HKD-2.45%
XRP/HKD-2.86%品數學探真滴
筆記整理七年級下冊第四章第一節三角形

二、三角形內角和的應用
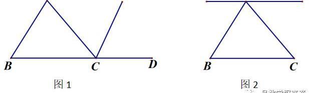
3、如圖3,猜想∠A、∠B、∠C、∠D之間的關系,并說明理由。

4、如圖4,猜想∠B和∠D之間的關系,并說明理由。
5、如圖5,猜想∠B和∠C之間的關系,并說明理由。

以太坊第四大巨鯨向Crypto.com轉入11,000枚ETH:據 KingData 數據監控,以太坊第四大加密巨鯨(0x72A53cDBBcc1b9efa39c834A540550e23463AAcB) 5個小時前向 Crypto.com 交易所轉入11,000 枚 ETH,價值 2776.08 萬美元。該巨鯨一周內向 Crypto.com 交易所共轉入 34,300 枚ETH。[2022/3/7 13:42:34]
6、如圖6,猜想∠A和∠D之間的關系,并說明理由。

三、直角三角形
主網升級在即Cardano(ADA)暴漲,已超越XRP和波卡位列市值第四:2月7日,Cardano(ADA)價格出現暴漲,本文撰寫時據CoinMarketcap數據顯示已經達到0.674288美元,24小時漲幅高達25.28%,市值飆升至20,948,886,932美元,已超越XRP和波卡位列加密貨幣市值排名第四位。
本周四(2月4日),負責構建Cardano區塊鏈解決方案的開發團隊Input Output Hong Kong宣布Cardano測試網Mary已成功進行硬分叉,并應用Goguen本機代幣升級,測試網正式進入多資產時代,此后將在本月底在主網進行升級。之后Cardano創始人Charles Hoskinson表示,Cardano在各方面都優于其最大的競爭對手以太坊2.0,從工程和研究的角度來看,以太坊的擴容方法風險較高,這也是以太坊2.0很難推出的原因。[2021/2/7 19:09:49]
7、如圖7,∠BAC=90°,AD⊥BC,找出圖中所有相等銳角并說明理由。
MtGox交易所:債權人可通過新網站查看第四次債權人會議民事復議資料:MtGox交易所官方網站發布最新公告《關于第四次債權人會議(民事再生手續)資料上傳的通知》,公告指出,民事再生手續相關資料,再生管財人(小林信明律師)建立了新網站,用于訪問上述網站的密碼,將會用電子郵件通知債權人。現在已經上傳了一部分,剩下的資料準備好即可上傳。
據金色財經了解,日本公司更生法規定,法院裁定開始公司更生程序的,應當同時任命更生管財人,由更生管財人全權行使對公司財產的管理處分權限。(公司更生法第67條第1款、第72條第1款)。[2020/3/24]

火幣HADAX第二期第四輪投票上幣排行榜更新:截止19日18:00,HADAX投票上幣排行榜前三位的幣種為:IDH 得分638940;BCV得分391104;PRA得分322108;本輪選擇2個項目上線,得分第一的將獲得火幣Pro優先上幣審核;本輪勝出項目至少要得分60萬以上。IDH已獲得3個超級節點支持,1票贈送3 IDH;BCV已獲得4個超級節點支持,1票贈送 6 BCV;PRA已獲得4個超級節點支持,1票贈送 0.5PRA。據HADAX公告顯示,項目方最多可抵押不超過200萬HT保證金;本輪投票周期為11天,將于4月27日13:00結束。[2018/4/19]
8、已知OC⊥OD,CE⊥AB,DF⊥AB,
如圖8,當線段OC,OD在線段AB的同側,請找出圖中所有相等銳角并說明理由。
如圖9,當線段OC,OD在線段AB的異側,請找出圖中所有相等銳角并說明理由。

未完待續······
●4.5 多邊形和圓的初步認識——疫情下的網絡教學●4.5《多邊形和圓的初步認識》習題講解●5.1《一元一次方程》新課與習題講解●5.1.2等式的基本性質●5.2求解一元一次方程——移項和去括號●5.2.3去分母解一元一次方程●5.3一元一次方程的應用——水箱變高了●5.3一元一次方程的應用——水箱變高了●5.3一元一次方程的應用——水箱變高了●5.4應用一元一次方程——打折銷售●5.4應用一元一次方程——打折銷售●5.4應用一元一次方程——打折銷售●5.5 應用一元一次方程——“希望工程”義演●5.6應用一元一次方程——追趕小明●5.6應用一元一次方程——追趕小明●5.6應用一元一次方程——追趕小明●6.1數據的收集●6.1數據的收集●6.1數據的收集與方程復習●6.2普查與抽樣調查●6.3 數據的表示第1課時扇形統計圖●6.3 數據的表示第2課時頻數直方圖●2018-2019學年北師版七年級數學上冊單元測試卷第五章一元一次方程●2018-2019學年北師版七年級數學上冊單元測試卷第五章一元一次方程●6.3 數據的表示●6.3數據的表示習題講解●6.4 統計圖的選擇●6.4 統計圖的選擇●6.4 統計圖的選擇習題講解●2022-2023學年第一學期期末試卷及答案●2022-2023學年第一學期期末試卷續●2022-2023學年第一學期七年級上冊數學期末評估卷及答案●2020年—2021年太原市知達常青藤中學七年級第一學期12月調研數學試卷及答案●2021-2022學年第一學期七年級上冊數學期末卷及答案●2021-2022學年第一學期七年級上冊數學期末卷及答案●2020-2021學年第一學期七年級上冊數學期末卷及答案●三角板的旋轉問題——角的計算●一元一次方程的等積変化問題●山西省2022-2023學年第一學期七年級上冊數學期末卷及答案●七上數軸上的運動問題●冪的運算●第一章整式的乘除
●1.1利用迭代功能構造中點三角形●1.2利用迭代功能畫方格●1.3利用迭代功能畫希爾賓斯基三角形●1.4利用迭代功能實現x到x+5的迭代●1.5利用迭代功能畫圓內接正n邊形●1.6利用迭代功能畫科克曲線和雪花曲線●1.7利用迭代功能進行分形樹的繪制(1)●1.7利用迭代功能進行分形樹的繪制(2)●2.1利用動畫功能制作描圖器●2.2利用動畫功能展示雷達掃描效果●2.3利用動畫功能展示圓的形成過程●2.4利用動畫功能展示橢圓的形成過程●2.5利用動畫功能展示迭代圖像的動畫效果●案例一:畫矩形●案例二:畫平行四邊形●案例三:畫線段垂直平分線●案例四:畫等腰三角形●案例五:畫相切的兩圓●案例六:畫等邊三角形●案例七:畫太陽、地球和月亮●案例八:畫太陽、地球和月亮●案例九:旋轉的大風車●案例十:點動成線、線動成面、面動成體●案例十一:系列按鈕制作圖案生成效果●案例十二:動態顏色的使用●案例十三:制作彩輪●案例十四:制作動畫彩輪●案例十五:制作含有三個參數的動畫彩輪●案例十六:制作調色板●案例十七:給圓柱體加上金屬色澤●案例十八:制作投硬幣游戲●案例十九:創建計數器工具●幾何畫板微視頻1:汽車追火車問題●幾何畫板微視頻2:追趕小明●幾何畫板微視頻3:折返相遇問題●幾何畫板微視頻4:等可能事件的概率——投硬幣試驗●幾何畫板微視頻5:等可能事件的概率——投骰子試驗●幾何畫板微視頻6:等可能事件的概率——設計轉盤游戲●分類討論思想在折返相遇問題的應用●線段中的運動問題
作者|PietroCasella、PatrikLiuTran翻譯|賈川、徐佳渝、楊婷語言是人類最重要的發明,也是人類與其它物種的最大區別.
1900/1/1 0:00:002006年比特幣并不存在,因為比特幣的白皮書是在2008年由中本聰發布的。在2008年至2009年期間,比特幣的初始版本被開發出來,并在2009年1月3日正式誕生.
1900/1/1 0:00:00第一個問題,有同學問,他說比特幣全網的多空比代表什么上含義?我們從里邊能看到什么信息?比如說今天24小時之內多投49%,空投51%,有什么參考價值?這個多空比呢,比如多投49%,空投51%.
1900/1/1 0:00:00比特幣價格未能清除28800美元的阻力位,BTC正在修正漲幅,但下行空間可能會限制在27550美元的支撐區域下方。比特幣在未能清除28800美元的阻力區域后開始下行修正.
1900/1/1 0:00:00提供一些關于蔚來汽車財務報告分析的框架,但請注意這不是專業的財務建議。一、營收情況:分析蔚來汽車的總收入、汽車銷售收入、其他銷售收入、同比增長率、環比增長率等指標,反映其營業規模和增長能力.
1900/1/1 0:00:002021年5月,全國二級建造師執業資格考試開考前,相關試題泄露,并在網上被傳播、販賣。試卷內容幾經轉手,層層分包銷售,甚至有一位宿遷的考生花費200元就買到了試題及答案.
1900/1/1 0:00:00