BTC/HKD-0.76%
ETH/HKD+0.04%
LTC/HKD+0.29%
ADA/HKD+0.19%
SOL/HKD-0.63%
XRP/HKD+0.41%由Flashbots開創的MEV競拍服務已受到了礦工們的歡迎,那么這種競拍是否是最優的呢?
注:原文作者是斯坦福大學電氣工程博士GuillermoAngeris,placeholder研究員AlexEvans以及Gauntlet創始人TarunChitra。
在包分配問題中,礦工面臨著固定數量的交易,而他們要將這些交易包含在給定的區塊中,此外,礦工還可以選擇在該區塊中包含哪些包。礦工通過將每個包包含在區塊中來賺取利潤,然而,包具有很多必須要考慮的分配約束。在這篇文章中,我們給出了一個簡單的整數線性規劃問題公式,并提供了一些基本的擴展。
簡介
礦工可提取價值這個術語,指的是礦工根據交易排序可獲得的任何超額利潤。在區塊鏈等去中心化系統中,用戶通過點對點的gossip網絡向礦工提交一組交易和費用。而礦工們會收集這些交易,并將它們分批成一個完全有序的序列,然后由大多數礦工驗證并接受作為下一個區塊。
然而,在很多區塊鏈中,礦工可選擇要包含的交易集以及提交交易的順序。
如果一名礦工提交一筆具有經濟意義的交易,他們可以對交易重新排序以確保他們的交易首先執行,這也被稱為搶先交易。自從MEV這一概念被提出以來,已經出現了很多涉及閃電貸、借貸以及三明治攻擊的新型MEV形式。MEV代表了一種價值提取形式,而用戶無法通過簡單地修改其交易競價行為來消除它。
律師提交法庭動議要求Celsius用戶可接收Flare空投代幣:金色財經報道,根據律師約翰·迪頓 ( John Deaton )透露,盡管加密借貸平臺Celsius已經申請破產,但其用戶能可能會收到Flare空投代幣。目前,該律師已為Celsius上的XRP持有者(快照追溯至2020年12月)提交了一項法庭動議,該動議希望授權債務人將 Flare 代幣記入所有符合條件的賬戶,相關法庭聽證會將于1月24日由破產法官馬丁·格倫召開,如果該動議獲得批準,相關用戶就能收到Flare空投代幣,而Flare Network首席執行官Hugo Philion也表示希望該動議能夠得到法院批準。據金色財經此前報道,Flare Network于世界標準時間 1 月 9 日 23:59 啟動 TDE,而且得到了Atomic、Bybit、Bitfrost Wallet 等錢包支持。(u.today)[2023/1/10 11:03:13]
公平。從理論上講,MEV可能導致區塊鏈共識不穩定,并可能迫使用戶在預期交易費用之外支付額外的費用來處理交易。這也引出了很多研究,而這些研究的重點是保證交易排序及包含方面的“公平性”。而公平算法嘗試使用密碼學方法,例如對交易排序或待處理交易狀態的時間鎖承諾,以強制基于時間的“公平”保證。
MEV競拍。或者,有一些研究工作表明,MEV是區塊鏈獨有的,它無法通過純粹的密碼學方式刪除。這一系列工作有效地表明,相比用密碼學方式刪除MEV,礦工和用戶共享MEV利潤將導致穩定的均衡。
Cloudflare宣布支持以太坊合并,并上線支持G?rli和Sepolia的測試網網關:9月14日消息,云加速服務商Cloudflare宣布支持以太坊合并,并上線支持G?rli和Sepolia的測試網網關。
此前5月17日,Cloudflare在其官方博客發文表示,將對采用PoS共識的下一代Web3網絡進行積極實驗,并將在Cloudflare全球網絡上啟動并完全質押以太坊驗證節點。[2022/9/14 13:28:48]
在這個由Flashbots開創的世界中,“探索者”試圖找到交易的最佳順序,然后競標由礦工以特定順序執行的“包”交易。這種出價通過MEV拍賣進行調解——即參與者愿意在鏈下拍賣中向礦工支付額外的優先出價。因此,MEV競拍是更受歡迎的,并且這種方式在2021年為礦工創造了超過7億美元的額外收入。
最優性。然而,一個自然要問的理論問題是,這種競拍是否是最優的呢?目前,Flashbots競拍通過使用約束求解器解決背包問題(Knapsackproblem)來有效地執行交易包。但是從理論上講,我們應該期望近似整數線性規劃(ILP)的解決方案是“最優”的嗎?應該如何描述最優性?由于MEV是根據所有資產的可提取價值來定義的,因此任何最優概念都取決于任何一組交易和包可實現的最大利潤。
總結。在這篇短論文中,我們給出了在單個區塊中包含交易包的最優ILP的首個正式描述。我們的描述側重于MEV的三種操作形式,包括搶先交易、尾隨交易以及三明治交易。我們假設在實踐中使用的精確gas模擬方法是作為預處理步驟執行的,它將分配問題與正確估計單個包利潤的問題解耦。我們的公式可以很容易地用高級描述語言進行優化并在實踐中使用。
Flare Network與國際電子競技聯盟合作推出NFT:12月21日消息,國際電子競技聯盟董事會宣布與全球環境基金 (GEF) 的全球合作伙伴Flare Network合作推出國際電子競技杯NFT,所有參與2021年新加坡全球電子競技運動會的選手可獲得屬于自己的NFT。與此同時,Flare Network還與國際電子競技聯盟聯合捐贈了總計100萬枚代幣$Songbird (SGB)。(Cointelegraph)[2021/12/21 7:54:10]
定義
在這節內容中,我們首先來描述一下這篇論文中使用的基本定義。
交易:礦工通常從一系列的交易開始,我們把這些交易寫成一些集合T。這些交易由區塊鏈的用戶提供,它們可以是Uniswap或Curve的swap交易、借貸或預言機更新等交易。
包:礦工還接受許多由用戶提交的包,所謂包是一個帶有關聯交易的操作,每個包還包括了一些出價,例如,用戶愿意支付多少錢才能將其包包含在區塊中。礦工可以決定區塊中包含哪些包以及交易。而礦工從包中獲得的利潤,等于區塊中包含的各個出價的總和。
操作:從以前開始,每個包都將一個操作與一筆交易相關聯。可能的操作是:搶先交易t,尾隨交易,以及三明治交易。
對于給定的交易t∈T,要么是進行三明治交易t,要么是進行搶先交易以及尾隨交易t。例如,如果有三個包與交易t關聯,其中一個在t之后進行尾隨交易,一個執行搶先交易,另一個執行三明治交易,那么礦工可以選擇包括搶先交易包和尾隨交易包,或者是三明治交易包,但不能同時包括這兩個類型。
Flare Network公布Spark代幣分配方案,總量1000億枚Spark:據官方消息,Flare Network公布Spark代幣分配方案,總量1000億枚Spark。單個XRP持有人預期總共收到的Spark數量可按公式計算。可claim Spark=擁有的XRP /(XRP總量-Ripple的XRP-交易所XRP)X 450億。除了Ripple相關帳戶中持有的XRP、不參加的交易所中XRP,Ripple聯合創始人Jed McCaleb以及已知因欺詐,盜竊和詐騙而收到XRP的帳戶也排除在外。
此外,任何已知屬于同一個人的XRP帳戶組均設置了10億XRP上限,超過此上限本來應得的Spark將放入鑄造FXRP的激勵池。從本貼發布到12月12日,超過上限的XRP即便轉入其它賬戶,轉入的XRP應得Sprak執行同樣操作。
在網絡啟動時,在網絡啟動時,每個claimed Spark的帳戶將獲得他們符合條件的Spark總數的15%,余下將在25到34個月分配。[2020/11/24 21:58:58]
我們把這三個操作的空間稱為A。現在我們可以很容易地將包定義為與交易t∈T相關聯的操作,而它會有一個出價金額。即包是一個三元組(a,t,p)∈A×T×R+,所有包的集合將由B?A×T×R+給出。
利潤最大化。剩下的問題是:礦工如何選擇哪些交易包含在他們的區塊中,以實現利潤最大化?在下一節中,我們將展示這一問題可表述為一個簡單的整數線性規劃問題,而其通常可通過現代計算機在合理的時間內解決。
DeFi協議Flamingo暫停Mint Rush:金色財經報道,據官方Medium文章,基于Neo的互操作性全棧DeFi協議Flamingo表示,由于與Neoline錢包相關的技術問題,Flamingo團隊決定暫停目前的Mint Rush。已經在北京時間2020年9月25日22:11,區塊高度6212123進行了快照。Mint Rush將盡快重新啟動,Flamingo團隊正在與錢包服務提供商一起制定計劃。[2020/9/26]
問題表述
我們將利潤最大化問題表述為整數線性規劃(ILP),我們將其稱為包分配問題。
設置函數。為方便起見,我們將編寫定義以下函數。這里,t∈T是一筆交易,而B是所有包的集合。
我們將s定義為與三明治交易t關聯的包集合:

類似地,f是與t相關聯的搶先交易,b是與t相關聯的尾隨交易。我們假設B由b=1,2,...索引,其中n是提議的包的數量。
問題陳述:將包分配問題寫成整數線性規劃問題的一種簡單方法如下:

這里,

是優化變量,如果當前區塊中應包含包b,則xb為1,否則為0。問題數據是

,這是一個向量,使得cb≥0是礦工在他們的區塊中包含包b所獲得的利潤,而T是要包含在此區塊中的交易集)。
標準形式。問題(1)可以用矩陣表示法寫得更簡潔一些。為此,我們將定義m=|T|,交易總數,以及矩陣

為:

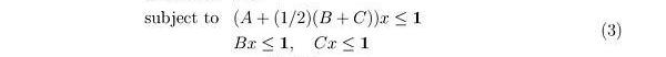
對于每筆交易t∈T和包b∈B,使用這些新的定義,問題可用以下方式編寫:

其中1是適當維度的全1向量,而

是優化變量。
解釋。我們可以將目標和約束解釋如下。目標

僅僅是包含在區塊中的包給出的利潤總和。第一個約束意味著區塊中最多包含一個三明治包,或者區塊中最多包含兩個搶先交易或尾隨交易t的包。第二個約束意味著對于每筆交易t,最多包含一個搶先交易包,以及最多包含一個尾隨交易包,而最后一個約束是將x的條目約束為布爾值。
放寬松。一般來說,除了非常小的實例之外,問題(1)可能很難解決,因為x的條目有布爾約束。但是,在許多實際情況下,將布爾約束放寬為邊界約束,經過一些簡單的舍入方案后,可以產生合理的實際性能以及合理的解決方案。一般來說,這個寬松問題的最佳目標,始終是礦工可能獲得的最大利潤的上限,而任何舍入方案都會給出一個下限。這可以用來給出所提議的包分配的次優程度的一個界限。例如,如果放寬后的利潤為1.2ETH,而擬議分配的利潤為1ETH,則擬議分配的次優性最多為1.2/1?1=20%。換句話說,最多可將提議的分配提高20%。
2.1擴展
問題有幾個簡單但非常有用的擴展。
包約束。例如,用戶可能希望指定幾個包,這些包必須由礦工一次性全部包含,或者根本不包含。我們可以把它寫成包Bi?B的子集。對于i=1,。..,?,如果Bi中包含任何一個包,則礦工必須包含包Bi的整個子集。
新的優化問題由下面的公式給出:

其中優化變量是

和

,而問題數據是在(2)中定義的矩陣

和矩陣

:

換句話說,D是一個對角矩陣,其對角條目是集合Bi的大小,而F是一個矩陣,使得(Fx)i給出了Bi中要包含在區塊中的包的數量。約束Fx=Dy簡單地表示,對于每個可能的i,要么包含所有|Bi|包,要么只包含0個包。
gas限制。另一種可能的擴展,是在優化問題上包含總gas約束。例如,當包含在區塊中時,每個包b∈B可能使用一些最大量的gas。我們可以很容易地附加約束,即包使用的最大gas總量不超過交易)執行后剩余的gas量;即

,其中M≥0是剩余的gas量。我們注意到,這可能是一個很難獲得合理限制的數量,因為當區塊中包含包時,交易使用的gas可能會發生巨大變化。有其他可能的方法來進行計算,但我們不在這里討論它們。
結論
在這篇論文中,我們提供了一個簡單但非常通用的公式,它可以用于解決礦工利潤最大化包分配的問題。雖然該問題通常是NP問題,但我們懷疑大多數整數線性規劃求解器在實際情況下可能有很好的表現。
Tags:ARELARFlareXRPBasis Coin ShareMines of Dalarniaflare幣空投xrp幣的前景怎么樣
什么是日食攻擊? 日食攻擊是一種攻擊去中心化網絡的方法,攻擊者通過這種方法試圖隔離和攻擊一個或多個特定用戶,而不是攻擊整個網絡.
1900/1/1 0:00:00金色財經區塊鏈6月30日訊??距離六月結束還有不到半個小時,現在總結以太坊的六月表現應該說得過去,根據最新數據顯示,以太坊六月回報率為-21%,創下自2020年3月以來最差水平.
1900/1/1 0:00:00穩定幣的戰事進入2021年,已經較過去幾年呈現截然不同的形勢,USDT在交易所的地位仍然穩固,但在DeFI市場的地位已然被USDC逆轉,各項數據顯示USDC尤其贏得DeFi用戶的青睞.
1900/1/1 0:00:00趙東案,一直牽動幣圈人的心。官方消息一直未公布。日前,歐科鏈訊消息,稱趙東案庭審已結束。 總結下消息內容: 1、趙東等人為跑分平臺提供OTC服務,所涉交易達2kw+元,涉嫌幫助信息網絡犯罪活動罪.
1900/1/1 0:00:00區塊鏈系統的虛擬化代表著一個關鍵階段,它可以承載起公鏈開發以及商業邏輯的龐大遷移服務網絡。據NA愛好者觀察發現,大多數包括正在開發運行的區塊鏈項目都在使用現有的公共賬本,這無法滿足開發過程中所需.
1900/1/1 0:00:00“螞蟻鏈始于區塊鏈,但其業務模式實則是鏈接產業、鏈接技術、鏈接生態。”6月23日,螞蟻集團副總裁、智能科技事業群總裁蔣國飛將“螞蟻鏈”的“鏈”字做了闡釋,這一螞蟻旗下科技業務此前被認為只是聚焦“.
1900/1/1 0:00:00