BTC/HKD-1.13%
ETH/HKD-1.15%
LTC/HKD+0.07%
ADA/HKD-1.54%
SOL/HKD-0.69%
XRP/HKD-1.05%撰文:雷達熊,DODO創始人
一個有效的市場包含巨量信息,這些信息承載了市場對價格的判斷。但是鏈上計算資源有限,要在鏈上實現一個高度靈活的市場,就好像要把大象塞進冰箱。
把大象塞冰箱這種事情并不罕見,互聯網歷史上已經有過幾次壯舉。例如圖像壓縮,音頻壓縮。
壓縮的本質是提取最重要的特征,拋棄不重要的細節信息。
那么,一個市場最重要的特征是什么,是流動性。流動性可以表示為一張深度圖。

從下圖我們看到,深度圖可以抽象為兩個三角形,而描述這兩個三角形,只需要中間價和斜率即可。

我們盯住右邊的賣盤梯形深度,它的最大特點是,被買走的BaseToken越多,價格越高。因此,這種線性深度可以表示為

GRGB上線FUBT五分鐘漲幅169.88%:據FUBT實時行情顯示,GRGB今日17:20上線FUBT,上線五分鐘漲幅169.88%,報0.38USDT,行情波動較大,請注意風險。
GRGB商業鏈是眾幣基金會由區塊鏈行業多位精英組成聯盟共同發起,是基于區塊鏈技術發行的一款加密數字資產。GRGB商業鏈在產品多元化、差異化、布局全球,借助AI、大數據、云計算、5G、物聯網等尖端 科技,廣泛流通,充分發揮區塊鏈潛力。[2020/5/20]
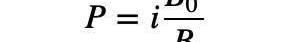
其中i是第一個參數「midprice」,k是第二個參數「slope」。
B表示當前的BaseToken庫存,B0表示初始BaseToken庫存,(B0-B)/B0用來表示有百分之多少的BaseToken被消耗掉了。
這一公式可以使得價格隨著BaseToken被賣出的數量線性增長。
但是,線性真的是描述流動性最好的方法嗎?并不是,線性描述有兩個局限:
真正的市場,大部分流動性集中市場中間價附近,而線性描述并沒有反應這種不平衡的分布。
即使價格遠遠偏離市場中間價,也應該有流動性,而線性描述下的價格是有上下限的。
行情 | BTC五分鐘內下跌1.33%:BTC五分鐘內下跌1.33%,下跌金額為90.56美元,其中火幣PRO上現價為$6707.94,請密切關注行情走向,注意控制風險。[2018/9/21]
我們為價格曲線引入了非線性。在不擴充參數的前提下,使深度分布更符合市場規律,靈活度更高。

最簡單的非線性解決方案,就是使用乘法而非加法。

這個公式可以滿足隨著B的減小,P不斷增大,直至無窮大。但是要怎么把斜率的影響加進去呢?
這就需要對B0/B這一項做改造了。B0/B≥1,我們用一個參數對其進行縮放,在保持此數值大于等于1的同時,可以控制它「大于1的程度」。

行情 | BTC五分鐘內上漲1%:BTC五分鐘內上漲1%,上漲金額為79美元,其中火幣PRO上現價為8240美元。[2018/7/30]
上式中,k的取值范圍是,決定了價格的斜率。
當k=0時,價格完全不變
當k=1時,價格斜率退化到上一個版本的公式
k越大,價格變化越敏感。k越小,價格變化越不敏感。
但是還有一個小問題,這里的P是邊際價格,對邊際價格的積分才是用戶需要支付的資產數量。上式中,B0/B這項積分后出現了對數函數,這會使后續計算變得很復雜。為了避免這一麻煩,我們再進一步:

在B0/B外面加一個平方項,這樣積分后就變成了一個簡單的除法。
令人驚嘆的是,當k=1時,這條曲線正是AMM所定義的bondingcurve。這種巧合使我們相信,這是一套更加觸及市場本質的算法。
同理,對于左半邊的深度圖,我們用對稱的做法,將basetoken替換為quotetoken,將乘法替換為除法:
BTC五分鐘內下跌1.01%:據huobiPro平臺數據,BTC五分鐘內下跌1.01%,下跌金額為75美元,目前收于7381.43美元,請密切關注行情走向,注意控制風險。[2018/5/27]

我們將左右兩邊的深度圖結合起來,就得到了PMM算法的完全版本,整理一下:

PMM算法是對Orderbook市場的高度壓縮,參數簡單,卻極度靈活。
這使得我們在冰箱如此狹小的空間內,擁有了堪比大象的能力。
下面我來列舉,通過調整參數和充提規則,這套算法可以實現哪些usecase。
UseCase1跟隨外部市場價格的主動做市
這一usecase的應用場景是擁有巨大外部市場的主流幣,例如ETHBTC等
PMM可以實現主動調整盤口價格,減少IL。獲得比AMM更高的資金利用率,并且持有單幣種就能提供流動性
BTC五分鐘下跌1.44% 48小時新低:BTC正在下跌,五分鐘下跌1.44%,一小時下跌2.9%。最低點8800美元,為48小時新低。[2018/5/1]
設置如下:
將價格i設置為外部市場價格
將k設置為小于1的數字
允許任何人單邊充提
這一UseCase我們稱之為DODOClassicPool。
UseCase2輕資本需求的自動做市算法
這一usecase應用于沒有主觀定價能力的長尾幣市場,將定價權完全交給taker
通常來講,長尾幣都是新資產,在AMM框架下沒有足夠的賣盤流動性,因而導致其流動性長期匱乏
設置如下:
將價格i設置成起始發行價
任意設置k
第一筆充值可以以任意資產比例,且不改變市場價
后續充值必須按照當前資產比例同時操作兩種資產
這一UseCase我們稱之為DODOVendingMachine。
UseCase3完全自由的做市算法
這一usecase為那些雄心勃勃,想要大展拳腳的做市商準備。
在此usecase下,資金池的全部資金都歸做市商所有。所有參數都可以調整,做市商可以根據他的判斷為資產靈活定價。同時做市商可以任意充提單一幣種,而不影響市場價格。
例如:
在ETH=700USDT附近做市,使用很小的k獲得非常有競爭力的流動性,并賺取大量手續費。當察覺到ETH有上漲預期時,撤出ETH庫存以減少單邊風險。但這一操作并不削弱買盤流動性。
新資產發行項目方只提供代幣而不提供資金。在1$開始銷售代幣。為了讓更多人以合理價格買到代幣,設置了較小的k,使得代幣上漲溫和。隨后項目方發現需要使用資金,則可以直接提出資金池中的資產,而不損害賣盤流動性,即用戶仍然可以買到大量廉價代幣。
設置如下:
只有做市商能充提,允許單幣種操作
這一UseCase我們稱之為DODOPrivatePool。
UseCase4流動性眾籌
我們可以將新資產發行分為兩階段:
不開啟現貨交易,所有參與發售的人都以相同的價格獲得代幣
以上一階段的結束價格開啟現貨交易,使用上一階段剩余的代幣和資產建立DODOVendingMachine
這一UseCase我們稱之為CrowdPooling。
UseCase5退化為AMM
當滿足以下條件時,PPM算法表現和AMM相同。
設置k=1
必須按照當前價格比例同時充提兩種資產
這也意味著,AMM是PMM的一種特殊情況。推導過程如下:
AMM的價格公式是xy=k,其中k是常數,x、y則分別代表兩種代幣的數量。為了避免字母上的歧義,我們把AMM公式中的恒定乘積定義為Const,并將其改寫為y=Const/x。

其中y代表quotetoken庫存,x代表basetoken庫存,價格可以寫為對y求導。

接下來回到k=1的PMM公式,我們可以將其寫成:

我們發現,PMM價格公式的分子上為常數,分母為basetoken的庫存。只要令

AMM的定價公式,與PMM的定價公式就一致了!
UseCase6穩定幣交易
設置如下:
i=1
k=0.001
算法表現可以與curve相同,并且更靈活,可以比curve更接近剛性兌換,或更接近AMM。
注:本論文旨在研究號稱錨定美元的USDT,是否在2017年牛市中,影響了比特幣和其它加密貨幣的價格.
1900/1/1 0:00:00比特幣在新的一年開始低于30,000美元的價格之后才達到40,000美元,回憶下,不到一年前的交易價格在4,000美元以下.
1900/1/1 0:00:00彭博社團隊發布了2021年1月的加密展望報告,他們在報告中預測,5萬美元可能是比特幣的下一站。報道稱,隨著比特幣試圖突破5萬美元的阻力位,比特幣的歷史高點2萬美元正在充當其基點.
1900/1/1 0:00:001月8日,加密貨幣社區BanklessNation成員發布了2021年預測,包括Bankless項目創始人RyanSeanAdams,Bankless創始成員DavidHoffman.
1900/1/1 0:00:00近日,獲得FrameworkVentures、ThreeArrowsCapital等機構投資的DeFi衍生品協議Futureswap發布了V2Beta測試版.
1900/1/1 0:00:00比特幣以其波動性而聞名,它的價格經常搖擺不定。盡管它從2020年3月的大流行引發的暴跌中迅速恢復,并繼續創下歷史新高,但這并不意味著比特幣在將來不會發生類似事件.
1900/1/1 0:00:00