BTC/HKD-0.25%
ETH/HKD-1.34%
LTC/HKD-0.52%
ADA/HKD-2.16%
SOL/HKD-1.49%
XRP/HKD-1.35% 
市場逐漸向好的時候,就會有很多朋友問我這個數字貨幣那個數字貨幣的情況。我一般都講的不太多。一個是怕自己才疏學淺誤導別人,另一個就是大部分人其實對數字貨幣的理解程度差異性太大。要每一個數字貨幣仔細分析怕是要講上很長的時間。
我對投資的理解,首先我們要找到自己的戰場在哪里。比如有些人就是很喜歡房地產投資,不管現在市場到底怎么差,他都會去尋找合適的標的。為什么?因為他覺得有安全感,有一些人的安全感來自于比較明確的實物,包括租金等形式的現金流帶來的穩定收益。
我就遇到過這樣的朋友,他很喜歡投資房地產,而且會非常興奮的與我分享年化10%收益率的過程。他會用他的資金去觀察適合的工廠廠房,然后在做出各種分析的情況下計算出投資回報率。當我跟他講數字貨幣的時候,他完全無法聽懂,也沒有辦法理解。
當然了,他的身價也上好幾億了,年紀也比較大,要一下子接受新鮮事物是非常難的。重點是他的思路也無法在短時間內轉變,你讓他拿這好幾億買比特幣,他第一反應肯定是你要騙他錢。

在他的理解中,一個投資品在一年的時間翻幾倍是不應該存在的,這跟是不是數字貨幣無關,即使是股票他也不認可這種情況。可能你會覺得他非常的保守,沒有投資眼光。但是無論他的思維與理解水平在什么位置,畢竟今天人家身價好幾億。
在投資中,大部分人忽略的其實是要掙錢首先要保證本金不會受損。穩,才是第一要素。掙時間復利,即使年化10%,只要他活的時間比你長,他一樣會比你有錢的多的多。
我們不可能同一時間把所有賺錢的項目都能看上一遍。即使你有這樣的時間,普通人也不存在這樣的信息來源。更別說,你看完以后,要把所有的項目都跑一遍,最后再掙錢了。所以每一個人都要找到適合自己的領域,適合自己的戰場。
如果你是保守型的投資者,那不用這么早介入比特幣,因為掙了10%,可能你馬上就會退出。然后又發現他繼續上漲,然后又沖進來,最后在下跌10%的過程中被清退出局,然后還要到處跟人講,比特幣都是騙局,不可能掙錢的。

無論什么投資,適合自己最重要。
我認識很多股票期貨中的高手,投資就跟武林一樣,一重關口一重天。真正的高手都是隱藏于世界與時間里,或者說與世界以及時間融為一體的。這句話怎么理解呢?
比如我就認識一個好朋友,他在股票市場里,幾乎從來不碰除了銀行股以外的股票。不是說他看不懂這些股票,也不是說他沒有信息差。恰恰相反的是,他的信息差永遠都能跑到別人前頭。
但是他只賺時間復利。用3倍的杠桿,做銀行股票,每年精準的計算出銀行利息與股息差之間的數值,在一個相對低點的位置買入。以5年為一個時間周期,其中每3年才操作一次,或者進或者出。
主力數據復盤:火幣ETH主力在下跌過程中買入超過2600萬美元:AlCoin PRO版K線主力大單統計顯示:8月15日10:00-8月16日20:15,ETH從442美元跌至最低412美元。這一過程中,火幣ETH/USDT出現并成交了大量委托買單。
其中,成交了70筆,總價值超過2600萬美元的大額委托買單(單筆委托金額20萬美元以上),買入均價426美元。[2020/8/17]
那么假設算出平均每年的收益率為10%,加上3倍杠桿,大致為30%。看著很少是吧,5年復投的情況下,最后出來的是371%的收益率。在3年操作一次的時間窗口下,接近于一年一倍。在數字貨幣市場里賺了快錢的人,都會嗤之以鼻,這才多少錢啊。我買個山寨幣,運氣好的話,一個月就有這個收益了,還要等3年?

如果我告訴你,他的本金超過10億,而且是穩定盈利,你會怎么想?這是幾乎毫無風險的盈利。國有四大銀行倒閉,概率得有多小?那是國家層面的經濟不穩定,你做任何投資都會崩盤。從這個角度思考,其實風險是一樣的。但是不一樣的是盈利,一個是穩定盈利,一個是不確定性盈利。更何況,這么龐大的資金體量,做什么生意可以產生這么高的利潤率?
在這個投資體系里面,時間才是最重要的衡量準則。準,是第二要素。時間既代表了從量變到質變的拐點,又代表了量能積累的尺度。
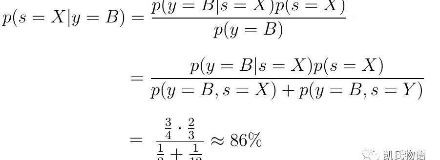
如果把時間拉長,你就會發現所有的投資維度都會出現變化。當你觀察1周的時間點的時候,所有的投資都是快速而痛苦的,因為你會覺得自己總也無法買在最低點,賣在最高點。而且假設你是對投資一無所知的人,只是單純的在規定的時間里去做重復的動作,那么你的賺錢與虧錢概率應該各占50%。

實際上是不會的,就好像拋硬幣一樣。如果把拋硬幣當成是一個獨立的事件,那么我們當然說正面與反面的可能性都是1/2。但是如果我們計算連續拋硬幣呢?假設我們拋了10次,10次都是正面,那么第11次應該是哪一面?有可能是正面嗎?
如果我們按照每一個獨立拋硬幣都是1/2來計算,第10次是正面的概率已經是1/1024,這就會引向一個結果,就是第11次拋硬幣是正面的概率應該是1/2048。這不就是一個小概率事件嗎?
這里我們就要引入一個定律,叫貝葉斯定律。
貝葉斯學派的觀點是,概率是個主觀值,完全就是我們自己的判斷,我可以先估計一個初始概率,然后每次根據出現的新情況,掌握的新信息,對這個初始概率進行修正,隨著信息的增多,我就會慢慢逼近真實的概率。這個方法完美的解決了頻率派的兩個問題,我不用等樣本累積到一定程度,先猜一個就行動起來了,因為我有修正大法,而且我也不關心是不是“足夠多”,反正我一直在路上。

主力大單復盤:拉升前BitMEX主力平空5193萬美元:AICoin PRO版K線主力大單跟蹤顯示:昨天13:00~今天01:00,BitMEX XBT永續合約主力大單成交頻繁,一共成交了40筆,5193.65萬大額委托買單。AI-PD-持倉差值在這一過程中為較高紅柱,即持倉減少明顯,因此可判斷大部分為買入平空。[2020/7/23]
所以簡單來說,貝葉斯定律就是:后驗概率=先驗概率*修正因子。
什么是先驗概率?硬幣沒有記憶,獨立來看,每一次拋硬幣,正面與反面的可能性都是1/2。但是硬幣沒有記憶,是一個無生命物質,是我們在拋硬幣之前就已經存在的知識經驗,這就是先驗概率。
后驗概率就是我知道我拋了10次,10次都是正面。這就意味著拋硬幣這個事件不是獨立的,而是具有連續性的,那么針對可能出現的結果就產生了一個新的概率:因為我拋了10次都是正面,所以第11次可能也是正面。
那么實際上通過后驗概率*修正因子,我就會得出第11次還是正面的可能性超過了1/2,而不是1/2048。

換句人話,當事物出現了新的情況,原來的看法就會被改變。新情況和自己的預期一致導致原看法被強化,否則就弱化。
大家在生活中經常能聽到的例子就是,假如你在家里看到了一只蟑螂,那么就說明你家里一定已經有很多蟑螂了。特殊事件,可以對初始概率產生幾何數量級的改變。
這對投資有什么啟示呢?
在整個事件的一開始,假設你剛開始做投資,無論是做任何形式的二級市場投資。初始概率非常重要,如果你一開始就總是虧錢,這說明你掌握的初始信息本身就不足夠。不足以支持你開始這一項投資。

我經常聽到很多人因為聽了某某股評家的意見就投資了各種自己也不了解的股票或者自己完全不了解的數字貨幣。這種情況下,你的初始概率就是偏向于虧錢了。如果你后面又沒有努力提高認知,那么大概率,你就會長期虧錢。因為修正因子沒有改變。后驗概率強化了先驗概率。
什么可以改變修正因子?就是要做大量的信息收集、從收集到的信息中區分真偽并且做出定量定化分析,最終對信息的組合形成一個全新的判斷。
所以為什么趨勢投資者最容易積累賺錢優勢?
因為時間的維度越短,你可以掌握的信息越有限。時間的維度越長,你可以判斷的標準越傾向于正確。

短期投資者往往容易快進快出,每一個銅板都想賺,但是由于在非常短的時間周期內可以獲得的信息量極其有限,所以很容易做出錯誤的判斷。即使在一段時間里盈利,但是只要出現一次錯誤的判斷,就非常容易累計錯誤,不斷的開始虧錢。
主力數據復盤:主力高位做空獲利近20%:AICoin昨日曾報道,OKEx BTC季度合約、火幣BTC季度合約和BitMEX XBT等在9900美元附近均有較大額委托賣單成交,并伴隨持倉增長,可判斷為主力開空。
主力開空后不久,市場經歷了兩輪下跌。第一輪下跌在9日15:20前后,由幣安BTC現貨主力主動賣出1251BTC,滑點高達109美元,測試到市場深度不足,主力做空信念增強。
第二輪下跌在今晨8時,BitMEX XBT永續合約主力主動賣出1.19億張,輕松完成一輪一千多美元收益的掠殺。 可見,此輪主力做空獲利超過20%。[2020/5/10]
即使有修正因子幫助,但是基于大數定律中對虧錢的強化情緒,最終走向虧錢的概率永遠會高于賺錢。
說到底,虧錢的本質就是貪婪,人性與欲望是最難控制的因素。
而做長期的趨勢投資者,就是一方面刻意的去避開賺盡每一分錢的想法,明明知道這個位置有可能賺錢,也不去賺,要放棄蠅頭小利,而去盡可能的積累賺大錢的概率。另一方面,通過長時間的維度去收集信息進行學習與思考,加強認知,不斷的正向強化修正因子,最后結合時間復利,得到遠超其他人的投資結果。

我比較熟悉的一個頂級投資者,在傳統金融市場里已經處于全球食物鏈的最頂端。在數字貨幣這樣快速迭代進化的市場里,依然保持5年為一個周期,只是把操作節奏調整為每半年做一次。從18年初開始入場,通過每半年高點拋1/3-1/2,低點接回來。從數萬以太坊起步,到今天個人手上已經有超過50萬個以太坊了,還不包括他手下團隊的。
頂級的高手,一般不出手,只要出手,一劍封喉。
我也經常聽到很多投資者不會把投資放在一個籃子里,左投一下,右投一下。每一個都像買彩票一樣,賭大小。最后都輸光了。還要美其名曰投資組合。我就認識一個朋友,投了100個項目,每一個項目都是P2P項目,結果一暴雷,這投資組合都沒了。
在二級市場里,如果你的投資資金沒有超過500萬,我覺得基本不需要投超過一只標的。最多投兩個已經極限了。就算超過了500萬,高手也就是一只標的,普通人最多投兩個標的。

在一個快速發展的市場中,大部分人分散投資不是因為精明或者善于理財,而是因為懶,這個機會也想看看,那個機會也想看看。又不加以分析,只想一夜暴富。最后把本都給虧沒了。我從來沒有聽說過因為分散投資而富裕起來的投資者。
當然了,你可以跟我說巴菲特就會分散投資,但是你要明白,首先他的資金體量已經不是隨便一個投資者可以擁有的,其次他每一次進入的其實都是市場中的龍頭標的。本質上還是在一個市場或者一個行業里面只選擇投資一個標的。
但這就意味著要做大量的功課,比如股票市場,要在數千只股票中選中一只標的,做長達5年的投資周期,這已經很反人性了。更不要說,在這么長的周期中,要避開絕大多數漲跌的波段,只在關鍵性的點位做買入賣出。可是,所有賺錢的人都是反人性的。
主力成交數據復盤:此輪拉升主力在Bitfinex:AICoin PRO版K線主力成交數據顯示:過去24小時,比特幣持續拉升,現貨價格曾一度逼近9000美元。
在拉升過程中,Bitfinex的主力買入了185筆,共計5638.89BTC;主力賣出僅81筆,共計2339.35BTC,主力買賣成交差3299.53BTC。
幣安成交差-855.51BTC,火幣成交差442.87BTC,OKEx成交差-265.87BTC。
明顯,此輪拉升主力在Bitfinex。[2020/4/30]
狠,是投資的第三要素。你必須足夠自律,足夠刻苦,足夠堅持。對自己狠,對投資品吃透,從表皮一直研究到細胞。沒有道理你不掙錢。

其實功夫都是外行看熱鬧,內行看門道。年初的疫情剛發生,你的第一反應是什么?武漢的熱干面最近不能去吃了。我認識一個高手,第一反應就是有一些汽車重要零配件都在武漢生產,那么首先日韓汽車廠的損失會很嚴重。比如現代汽車所有的加工廠都在國內。如果疫情擴散,就會影響上班率,就會減產,在這么多汽車股票中,最脆弱,影響最深的是現代。那么最好的方式就是做空現代汽車的股票。
在一瞬間能做出這個反射弧的投資者,我覺得剛剛入了第一道門。再進一步思考,就會發現疫情嚴重以后,全球的傳統汽車廠都會受到影響。誰最不受影響?答案是特斯拉,因為它是電動車,不需要這么些零部件,也只在上海新開了一個工廠,受中國疫情影響最小。受影響最小的反面就是在整個汽車行業內獲益最大。
再結合美股大盤的暴跌,結合各種指標,就會發現在股票中最適合做多的就是特斯拉,那么就可以加杠桿上。當然了,即使你想明白了這些操作,還要知道怎么找到門路來操作。這又是另一個問題了。

必須要對身邊的事物保持敏感性,做這些思維不是為了馬上去進行市場操作,就像我前文所述,不可能每一個賽道我們都去跑,我們只能專注于適合我們并且已經下注的戰場。但是不代表不可以進行邏輯思維的訓練。每一件事情,都能如此產生連帶反應,你的修正因子就會開始不斷正向強化。
在二級市場投資中,我總會發現一些有意思的現象。普通投資者都是想賺盡每一分錢,總想找到最優點位。而高段位的投資者即使看到了最低的點位,也會給這個點位留有一點空間,說白了,就是故意先虧一點錢,但是往往就是這樣的人更容易賺大錢。我稱其為成本意識。
這個世界做任何事情都有成本,你去打工是你付出時間,你做體力勞動者也是你先付出體力,這些統稱為機會成本。你開店做生意要先打本,要有租金人工,燈燭火蠟,柴米油鹽,這些都是資金成本。
做二級市場投資也是同樣的道理,你每做一筆投資,都是先付手續費,這些都是成本。先要有成本意識,做生意才長久。很少聽說一個人做生意,什么錢都是他賺了,別人都是虧錢,這個生意可以做的長久。
復盤:兩條趨勢線突破均有主力買入成交確認:AICoin PRO版K線主力成交數據顯示:23日20:35~23日21:35,比特幣價格運行至4月19~23日四小時周期的下降趨勢線(7305-7189)以及4月7日~23日四小時周期的下降趨勢線(7475-7189)附近,并分別于20:35和21:35完成突破。
20:35第一條趨勢線突破,突破前后,有4筆,共計950萬美元主力買入成交;21:35第二條趨勢線突破,突破前后,有7筆,共計1003萬美元的主力買入成交。主力大單的迅速跟進確認了兩條下降趨勢線的突破。
隨后,不斷有大買單跟進說明了趨勢還在持續,直到22:25分出現一筆500萬美元的大賣單,趨勢告一段落。[2020/4/24]

先虧一點,做長久投資。一直在賺錢,無論多少,情緒總是不一樣的,也就不會產生沖動的錯誤判斷。當然在投資中,這不是真的虧錢,而是短期內的賬面浮虧,換來長期的實際盈利。
電影《一代宗師》中有一段臺詞,勇哥問葉問,“人家宮家六十四手千變萬化,你們詠春就三板斧。攤、膀、伏,你怎么打啊?”葉問回答道,“三板斧就夠他受的了。”招數貴在精不在多。別人都看不上詠春,結果還就葉問成了一代宗師。
做投資的精華就三板斧,穩、準、狠。再加兩件兵器,邏輯思維與成本意識。
做數字貨幣投資,其實套用上面的思考也是一樣。首先我們看的是大趨勢,區塊鏈是不是一個劃時代的大趨勢,數字貨幣是不是會長期存在,比特幣是不是會長期存在。從過往10年的發展中,證明了它的獨特性與價值。這個大前提大家沒有意見,那么下面的討論才有意義。

就我個人而言,我會把所有的數字貨幣分為主流幣、次流幣、分叉幣、平臺幣、潛力幣跟山寨幣這六種品類。而基于本身的定位我只會區分貨幣與通證這兩種。
目前為止,除了Usdt作為穩定幣以外,符合主流幣與貨幣兩者概念的目前來看只有比特幣與以太坊。為什么大部分數字貨幣并不符合貨幣,更接近于通證?首先在于數字貨幣本身對價值的定義。在數字貨幣里,價值來自于這個貨幣包含有分布式數據資產,不然最多就是一個通證。
另一個就是可以走向法幣世界,被主流投資機構認可以及廣泛使用的,甚至可以產生金融衍生品的,目前來看似乎只有比特幣與以太坊。其他貨幣暫時未看到這個端倪。
那么我們看次流幣,波場與EOS都是比較典型,其實到目前為止,雖然我們看到了過萬個區塊鏈項目,但是真正意義上的區塊鏈里的區塊沒有空跑的,有數據的少之又少。基于誕生這兩個貨幣的時間點,都是上一輪牛市的下半場。所以趕上了好時候,又各自都跑的比較快。兩個項目都有比較典型的特征,就是靠嘴騙炮,會吸引眼球,會炒作,會拉盤。而最重要的是,在早期各自都找到了自己的核心定位。

一個是跑游戲跟賭博類項目,把這個場景跑通,有相應的分布式數據;另一個是把以太坊跟EOS跑完的再拉到它上面跑一遍。再加上波場不斷的收購數字貨幣項目,其實就是收購已經有分布式數據的項目資產,拉到波場上成為其分布式數據。
形式與過程不重要,我們做事情看結果。相比與Cosmos以及波卡這類的項目,其實已經好很多了。在次流幣里,雖然這兩個是明星項目,但是并沒有走通其本質上的場景。所以明星項目靠的是什么?靠的是背書。背書只能用一次,適合短跑型選手。就是這事兒成不成我不管,我只看你第一下硬不硬。
只是報有這樣想法的往往就變成了接盤俠,本來想短跑一下,結果一不小心就栽在里面,變成了馬拉松選手。最后就變成了一個夢想。到今天為止,這些明星項目上跑的仍然是空塊,沒有任何分布式數據。
所以你投資他們只要看先驗概率就可以了。在先驗概率里,你已經知道,這些明星項目其實還是在做跟以太坊差不多或者想要在以太坊這條賽道上一起跑的人,也就是說他們是陪跑者,距離還特別遠,但是先告訴你他可能會跑贏以太坊。

這本身就是一個小概率的事情,所以先驗概率中,這件事失敗的概率其實就高于1/2。那么在后續的發展中,我們發現里面連能吹牛逼的人都沒有,后驗概率開始向失敗疊加,最后修正因子不起作用。所以從故事的開頭你就應該看到故事的結尾,這不是孤立事件,而是連續事件的邏輯必然結果。
如果這個時候有大佬喊話說,這些個項目可以入,那你就要小心。因為大佬跟你是對立面。
為啥分叉幣是排在次流幣后面,因為本質上他們連有分布式數據資產的次流幣都不如。分叉幣,尤其是早期的分叉幣,因為知名度比較高,吸引了大家的關注度。但是大家有沒有思考過,本質上這些分叉幣都是偽幣。
如果你已經有足額的黃金握在手上了,你還會專門去買成分不足的黃金嗎?現在的市場發展階段其實是大家覺得”數字黃金“的數量不夠,所以去搶購成分不足的”數字黃金“來做替補,但是比特幣是可以購買小數點后八位的,理論上適應全部人類去擁有,哪怕是0.00000001個。

所以在現在的這個階段,無論是Bch也好,Bsv也好,Etc也好,還是其他分叉幣,都是在自己消逝之前盡可能多的去尋找自己的獵物,來延長自己的生命。你見過有人用Bsv在場外大量交換嗎?沒有,說明這只是一個被炒作的純空氣,既沒有分布式數據,也沒有應用場景,只有一個老板在喊單。
所以你投資的意義是什么?送錢嗎?基于時間的流逝,最終所有的偽幣都會走向歸零。如果你投資的是一個未來一段時間即將消亡的產品,那你只能短炒,那就意味著出錯概率會提高。最后虧損的可能性也很高。
平臺幣是一個應用場景,但是現階段只是區塊鏈產業的基礎設施,還遠沒有到跟區塊鏈技術有強相關性的時候。拿平臺幣要看兩個要點,一個是國家政策合規性,一個是大的技術改變的節點。平臺幣是最類似證券通證的品種,只能持有頭部交易所的平臺幣。但是依然有一定的不確定性。
從現在的階段來說,區塊鏈的核心利潤都被頭部交易所斬獲,而交易所又不屬于區塊鏈技術發展的型態,只是基礎設施,那被政府盯上的可能性是很高的,畢竟有太多的利益在里面。

山寨幣其實沒有太多可聊的,如果大家認識到現在只是1996年,絕大多數的項目都不用怎么關注。因為離爆發還很早。那么最后要聊的就是潛力幣,我的文章一貫來說,講的數字貨幣都不多。
其實很多人沒有想明白的是,針對次流幣與分叉幣,穩定性不如投資主流幣,收益率從長期來看也未必會達到,而基于現在這么早的階段,潛在的失敗概率其實與潛力幣是一樣的,而隨著時間的推移,大家會發現原來的故事無法被印證或者無法延續的時候,共識就會逐漸的移到新的潛力幣中,尋找其中的龍頭。
從比特幣到以太坊再到泰達幣,我們實際上看到的是貨幣基于其金融場景發展的脈絡。貨幣的最終價值要用于交換。在很早以前的文章中我就給出過數字貨幣的定義:
數字貨幣是一種具備交易功能的可執行智能合約的交易成本極低的數據資產。

在這里面簡單的提取關鍵詞就是,交易、智能合約、成本低、數據。這四個關鍵詞中有三個恰恰對應了現在我們看到的比特幣、以太坊以及泰達幣。比特幣是最先開創數字交易的貨幣,代表了數字貨幣的基礎型態,所以最先進入法幣世界。以太坊是搭建智能合約的平臺,代表了數字貨幣發展的階段性成果,產生的龐大場景包含了DeFi等一系列金融衍生品。貨幣只有在價值穩定的時候,才能達到交易成本極低的狀態,這個就是泰達幣。
只有最后一個到目前為止還沒有被完整的體現出來,就是分布式數據。大家看到了DeFi在逐步火熱的過程之中,但是大家幾乎沒有看到一個可以承載DeData的底層。
Ipfs分布式存儲是一個非常有價值的應用場景,但是唯一的缺點就是無法產生生態。在互聯網里基本沒有聽說過基于存儲產生生態的,在區塊鏈的型態中依然不會存在。
大家只要看自己手機里的應用程序就知道,智能設備里應用權限相關的工具就是底層的應用系統。在區塊鏈型態中,所有的智能設備本質上都是數據錄入的礦機。比特幣的礦機以及以太坊的礦機都只是初始型態,真正意義上的礦機是會逐步走向智能設備的,但是這里面大家要區分的是,只有能錄入有價值數據的智能設備才有可能成為礦機。

你今天看了一個抖音,明天刷了一個微博,這對區塊鏈網絡沒有任何影響,在互聯網中已經做的非常好了。簡單來說,就是這個數據對于區塊鏈網絡沒有高價值,在區塊鏈網絡發展初期,技術成本高昂的情況下,不可能出現真正的數字貨幣愿意承載這樣的數據資產。
在類似手機這樣的移動智能設備里,排名第一的應用權限就是存儲,75%的軟件會調用存儲;排名第二的是定位與地圖,70%的軟件會調用;排名第三的是攝像頭,50%的軟件會調用;排名第四的是聲音,30%的軟件會調用。
所以最先出現能產生廣泛應用場景及大量分布式數據生態的潛力幣,我認為應該是一個地圖公鏈,準確的來說,是一個區塊鏈世界底層的應用系統。全世界我只看到了海伯利安HYN在做這個事情。它會成為你需要未來長期關注的一個項目。
在投資中,要不然就是穩定賺錢,要不然就是投資潛力幣獲得超額收益。核心有以下幾點,看一個項目首先要看卡位,它的定位獨特,產品路徑清晰,又有比較前沿的底層技術,最好還能產生一個生態。現在的投資群體還不多,未來可裂變的人群基礎龐大。

比如現在只有1萬人關注這個潛力幣,當某一個階段,產品或者應用或者技術落地的時候,變成10萬人關注是比較靠譜的可能性。從10萬人變成100萬人關注就是另一個難度級別了,更別說從100萬人變成10000萬人。這就是人口紅利。
一個潛力幣就是特斯拉今天的狀態,資金會逐步聚攏,影響人群會逐步裂變,可產生的生態預期不斷被強化,股價就會不斷上升,早期是非常平緩的上漲狀態,后期是超速上漲。到你反應過來的時候,投資回報率其實已經降低很多了。
最先打開DeData生態的潛力幣會成為區塊鏈的底層應用系統,以太坊的互補,帶動下一輪區塊鏈泡沫爆發。
如果我是你,在現在這么早期的大環境下,我只會按比例投兩種數字貨幣,注意,是貨幣而不是通證。一種是主流貨幣,相對比特幣的超漲幣,以太坊,大家只要看ETH/BTC的交易對就知道他的潛力。
未來四年,我們共同見證
量子計算不會消滅區塊鏈。10月23日,谷歌已經成功實現“量子霸權”的論文終于以封面文章的形式在《Nature》雜志150周年版上重磅發表.
1900/1/1 0:00:00近期部分幣種,包括BCH、ETC、DASH等,開啟了局部反彈走勢,但整體行情的好轉,仍需要以BTC大盤來參考,畢竟BTC才是市場行情的發動機,在其沒有全面開動前,市場的反轉還言之過早.
1900/1/1 0:00:00最近美國股市道瓊指數三天跌了1200點,納斯達克指數和標普500指數也同樣大跌,歐洲和亞太股市同樣大跌,而作為避險投資品的黃金迎來上漲.
1900/1/1 0:00:001.今日市場概況 今日市場總市值為2528億美元,相比昨日無明顯變化。交易量為1722億美元,相比昨日微漲1%.
1900/1/1 0:00:00今天的文章是幣友SLcthrd的留言提問及我的回答。說實話,我簡直是愛死了這個留言。原因有三:1、清晰地描述了個人背景及狀態。一步棋要怎么走,好不好,要依據當時的棋局而定.
1900/1/1 0:00:00重點資訊 1、中國人們銀行行長表示五年前人民銀行就已經啟動了數字貨幣的研究和法定數字貨幣的研發。要增強法定貨幣體系在未來數字經濟生態的適應性,也要面對全球穩定幣的挑戰.
1900/1/1 0:00:00