BTC/HKD-0.05%
ETH/HKD+0.32%
LTC/HKD+0.07%
ADA/HKD-0.49%
SOL/HKD-0.12%
XRP/HKD-0.32%uniswapV3一公布就引發廣泛關注。相對V2來說,邏輯和代碼都復雜一些。V3的核心是通過盤口區間提供流動性,解決LP提供流動性時的資金利用率的問題。什么是資金利用率?V3如何推導區間流動性的計算公式?如何理解流動性?如何計算swap費用?本文先從V3技術白皮書詳細分析開始。
先給出一些uniswap官方有關V3的資料:
V3官方介紹
https://uniswap.org/blog/uniswap-v3/
技術白皮書
https://uniswap.org/whitepaper-v3.pdf
智能合約代碼
https://github.com/Uniswap/uniswap-v3-core
https://github.com/Uniswap/uniswap-v3-periphery
推薦先認真查看技術白皮書,再看智能合約代碼,最后再對照官方介紹。理解了技術白皮書,代碼非常容易理解。在技術白皮書的第一章總結了uniswapV3的技術特點,最核心的概念是"ConcentratedLiquidity"。
資金利用率
先看看uniswapV2的資金利用率:

上圖為資金池中的x/y的量變化曲線。資金池中的當前價格在c點,并且假設會在a價格點和b價格點之間波動。從c點向a點滑動,消耗最大y_real,從c點向b點滑動,消耗最大為x_real。也就是說,當前價格c點,在a點和b點之間震蕩的話,最大只需要消耗x_real和y_real。理論上只要提供x_real和y_real就足夠了。而事實上,如上圖所示,在價格c點,分別提供了大于x_real和y_real的x和y。明顯可以看出,x-x_real和y-y_real的資金在這種情況下是永遠用不上的,也就稱為閑置資金。
Uniswap社區正就將V3部署至Filecoin Virtual Machine提案進行溫度檢查投票:6月13日消息,Snapshot投票頁面顯示,Uniswap社區正對將 Uniswap V3部署至Filecoin Virtual Machine的提案進行溫度檢查投票,目前支持率為100%,投票將于6月18日結束。[2023/6/13 21:34:11]
在這種情況下,資金利用率為x_real/x或者y_real/y。如果價格波動非常小的話,資金利用率是非常低的。uniswapV3就是嘗試解決資金利用率低的問題。想法比較簡單,所有資金可以只添加到某個區間,只添加到有可能價格波動到的區間范圍。如何在某個區間添加流動性并提供swap功能是uniswapV3的重點。先從VirtualReserves說起。
虛擬資金池(VirtualReserves)
uniswap的交易采用的乘積固定模型(x*y=k)。所謂的虛擬資金池(VirtualReserves),是指還在乘積固定曲線上,只提供某個區間流動性的資金池:

圖中的墨綠色的曲線就是虛擬資金池滿足的乘積固定曲線。事實上需要的資金的曲線如圖中的橘黃色。橘黃色的曲線公式如下圖:

你可以想象成虛擬資金曲線在x/y軸進行平移,使得a/b點和x/y軸重合。也就是用一定量的資金就能達到“虛擬”的交易曲線的效果。
安全公司Dedaub因披露Uniswap重入漏洞獲得4萬美元漏洞賞金:1月3日消息,安全公司 Dedaub 團隊宣布獲得 Uniswap Labs 的 4 萬枚 USDC 安全漏洞賞金,因為其披露 Uniswap 的一個嚴重漏洞,該漏洞有重入并耗盡用戶的資金的可能性。不過,Uniswap 團隊已解決該漏洞并在所有鏈上重新部署了 Universal Router 智能合約,資金是安全的。
Uniswap 在 2022 年 11 月份發布通用路由器Universal Router智能合約,可將 ERC20 和 NFT 兌換統一到一個交換路由器中,用戶可以執行異構操作,例如,在一筆交易中交換多個 Token 和 NFT。
Dedaub 表示,該路由器為各種 Token 操作嵌入了腳本語言,此類命令可能包括向第三方(可能不受信任的)接收人的傳輸。如果在傳輸過程中的任何時候調用第三方代碼,該代碼可以重新進入 UniversalRouter 并在合約中臨時認領任何 Token。Dedaub 建議 Uniswap 為新路由器的核心執行添加一個重入鎖,并重新部署。[2023/1/4 9:50:22]
如何計算在某個區間提供虛擬資金池,先要從深入理解流動性開始。
流動性
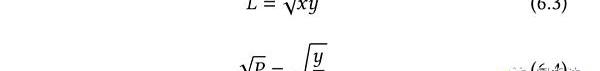
乘積固定的交易模型,滿足資金池中的兩種代幣金額滿足:x*y=K。如果設定K=L^2的話,x*y=L^2。L就是我們說的流動性。由乘積固定的交易模型得出如下的公式:

在已知L和sqrt(P)的情況下,也能推導出資金需求量x和y。

斯坦福大學區塊鏈俱樂部成為Uniswap第九大代表:金色財經報道,美國斯坦福大學區塊鏈俱樂部已成為Uniswap交易所的第九大代表。Uniswap治理工具Sybil表示,這個由學生運營的區塊鏈俱樂部已擁有2524711張選票。此前,美國加州大學伯克利分校由學生運營的區塊鏈組織Blockchain at Berkley已成為Uniswap交易所的第十大代表。[2021/1/7 16:36:22]
通過公式6.6,在流動性不變的情況下,流動性可以看成是單位“價格波動”的y資金量的變化。”價格波動“打上引號是因為事實上是sqrt(P)的變化。

這個是uniswapV3核心公式,用相對值來計算流動性。所謂的流動性,就是單位“價格變化”的資金量。在一定的交易量的情況下,如果流動性好,價格變化就小,流動性不夠的話,價格波動就大。

特別注意的是,一個區間上的流動性和V2的普適的流動性不同。一個區間上的流動性,重點在“區間上”。不同區間的流動性沒有可比性。V2的流動性和區間上的流動性的區別如下圖:

V2的流動性是“普適”的,在所有價格點上流動性相同。V3的流動性是由一系列不同區間上的流動性組成。相對來說,在當前價格左右的流動性比較高。流動性提供者LP只有提供了可供交易的流動性才能獲取交易費。為了獲取更多的交易費,為了提高資金的利用率,流動性提供者會將資金提供在合理的價格波動范圍內。也就是說,在某個區間swap交易產生的手續費,只有該區間流動性提供者才能獲取手續費。為了計算每個區間獲取的手續費,引入了Tick的概念和計算方法。
JinZu將于9月6日首發上線A.top交易所與Uniswap交易所:據官方消息,JinZu(金豬)將于9月6日首發上線A.top交易所與Uniswap交易所。
據了解,JinZu(金豬)是DeFi去中心化金融 基于以太坊的數字資產和金融智能合約,協議以及去中心化應用程序(DApps)。是建立在區塊鏈上的去中心化借貸開放系統,任何有流量的和場景的平臺只要基于Jin Zu的標準都可以提交自己的Dapp應用到Jin Zu網關服務,網關服務是一個中心化系統,主要用來服務沒有能力通過RPC接入Jin Zu的生態參與機構。通過Jin Zu提供的Gateway通過openapi方式訪問Jin Zu生態系統[2020/8/30]
Tick
在區間上提供流動性,帶來很多復雜的情況:區間和區間的重疊覆蓋。因為不同區間的流動性沒有可比性,某個交易費并不能混入到流動資金中,等刪除流動性時候一并提取。為了解決這個問題,uniswapV3引入了Tick的概念。交易費用實時結算并單獨記錄,并不混入流動資金中。雖然整個區間和區間的流動性沒有可比性,但是,在具體的某個價格點上,流動性是可比較的。uniswapV3將整個價格范圍(負無窮到正無窮)分成一個個的Tick:

后一個價格點的價格是前一個價格點價格基礎上浮動萬分之一。

每個Tick也有一個唯一的序號。區間可以由兩個Tick表示。邏輯上交易手續費可以一個個的Tick計算,并在每一個Tick上根據流動性的占比進行交易分配。先看看一個Tick范圍的swap的計算。
Dharma正在添加代幣交換協議Uniswap:金色財經報道,由Coinbase支持的去中心化金融初創公司Dharma正在添加代幣交換協議Uniswap作為其最新的應用程序內產品。除了獲得以太坊穩定幣的“利息”之外,Dharma用戶現在還可以在ERC-20代幣間進行交易。[2020/7/30]
Tick內的SWAP
假設有一個很小的量的y,需要swap為x。通過6.13的公式,可以計算出因為y的變化導致的價格變化。

再利用6.15的公式可以算出換取的x的量。

uniswapV3針對同樣的交易對設置了不同的交易費:0.05%,0.3%以及1%。如果是從Y換取X,則在換取之前先扣除手續費再進行上述的交換。
在同一交易池中只支持一種費率。也就是說,在一個交易池中支持不同的價格區間,但是都是同樣的費率。如果需要添加同樣交易對的不同交易費的交易池,必須創建新的交易池。
接下來,深入講解一下添加/刪除流動性以及交易費用的計算邏輯。
6
添加/刪除流動性
V3的添加/刪除流動性是當前價格情況下在某個區間添加或者刪除流動性。所有的流動性添加/刪除流動性采用如下的公式:

注意,價格變化并不是指區間的大小,而是在某個區間上提供流動性,相對當前價格,“需要相應資金變化”對應的價格變化。
分為三種情況,想要添加的流動性區間和當前價格的關系。
當前價格處于流動性價格區間(il<=ic<iu)

因為價格在區間范圍內,如果價格滑動到il,則需要提供y資金。如果價格滑動到iu,則需要提供相應的x資金。所以,對于delta_Y來說的,價格變化為sqrt(P)-sqrt(p(il));對于delta_X來說,價格變化為1/sqrt(P)-1/sqrt(p(iu))。
當前價格低于流動性價格區間

因為當前價格遠低于il,即使從當前價格向iu滑動,也只需要x的資金,不需要y的資金。所以,在這種情況下,delta_Y=0。因為從il滑向iu需要整個區間的x的資金,對于delta_X來說,價格變化為1/sqrt(il)-1/sqrt(p(iu))。
當前價格高于流動性價格區間
和第一種情況類似,不重復分析了。
7
Swap交易費用
uniswap最復雜的邏輯是計算交易費用并分配。在添加和刪除流動性之前需要將相應的交易費用提取。
Tick上的總流動性
???在某個Tick上可以存在多個區間。在計算交易費用時,需要平攤這些費用給所有在這個Tick上多個區間的總的流動性。在每個區間的邊界的Tick上記錄下delta_L。
???存在一個全局狀態:liquidity,保存當前價格對應Tick的流動性總和。當價格波動,穿過某個Tick時,會進行流動性的增加或者減少。舉例來說,價格從左到右穿過區間,當穿過區間的第一個Tick時,流動性需要增加,穿出最后一個Tick時,流動性需要減少,中間的Tick都沒有流動性的增加和減少。?

區間上的交易費用率
???計算一個區間上的交易費用率,采用總的費用率減去區間外的費用率的方法。在一個區間的邊界Tick上記錄feeGrowthOutside。所謂的feeGrowthOutside,就是“另外”一個方向上總的費用率。另外的一個方向是相對穿過當前Tick的方向而言。當價格從左到右穿過一個Tick,feeGrowthOutside指的是Tick左邊所有區間的費用率。簡單的說,就是價格要去方向的相反方向所有區間的費用率。feeGrowthOutside用fo表示。因為fo是一個Tick的兩個方向的總的費用率,兩個方向的費用率的總和肯定是等于fg。所以當穿過一個Tick時,這個Tick上的fo要進行翻轉:

當一個區間創建時,區間邊界上Tick的fo需要初始化:

如果當前的價格大于Tick的價格時,因為即使當前價格在設置的區間內,但是之前費用也不會分到,所以,可以簡單的假想為所有的費用發生在Tick價格之下,也就是fo=fg。如果Tick的價格大于當前價格,價格還沒有穿過Tick,因為假設了之前所有發生的費用發生在Tick價格之下,Tick之上是沒有費用的,所以fo=0。在理解了這些邏輯的基礎上,在swap的過程中,隨著價格的波動,一個區間上,超過最高Tick的費用率以及低于最低Tick的費用率可以用如下的方式計算:

以低于最低Tick的費用率的計算為例,如果ic>=i,低于Tick的所有的費用率就是fo。如果ic<i的情況下,fo記錄的是高于Tick的所有費用率,所以需要翻轉,即fg-fo。在獲取了一個區間外的所有費用的情況下,計算本區間的費用率:

獲取的費用率的基礎上,用費用率乘以區間的流動性可以計算出該區間收取的費用。
總結:
uniswapV3版本核心思想是流動性集中。流動性提供者可以在某個區間提供流動性,提高資金使用率。在某個區間獲取的交易費,由所有在該區間的流動性提供者均分。uniswapV3設計了區間粒度-Tick,并且推導了流動性添加/刪除以及費用計算的過程。在之基礎上,uniswapV3也更新了價格預言機的實現。
Tags:SWAPUNITICICKOcean Swap Bridgeuniswap幣賣出沒反應ParticlPICKLE
最近收到很多同學關于拍賣和質押的私信,所以在昨天舉辦了一次線上直播,統一回答了一些大家的疑問。針對提問比較多的問題,也整理成文字版供大家參考.
1900/1/1 0:00:00如今NFT的展示和流通都可以通過AudiusCollectibles實現!人們如何訪問和查看你的NFT非常重要!當然,對于NFT創作者和收藏夾,這個過程越簡單越好.
1900/1/1 0:00:002021年2月,加拿大監管機構批準北美首只比特幣ETF。這只Purpose?Investments公司旗下的比特幣ETF在首日達成1.65億美元交易量,并在一個月后突破10億美元的資管規模,持有.
1900/1/1 0:00:00據官方最新消息,Polkatrain將于北京時間2021年4月9日14:00點,重新部署新的智能合約并替換原POLTToken,預計時間是5小時左右.
1900/1/1 0:00:006月16日合約行情分析:BTC于9000美元企穩反彈:據火幣BTC永續合約行情顯示,截至今日16:00(GMT+8),BTC價格暫報9504美元(+4.41%).
1900/1/1 0:00:00作者:李國權、閆黎 注:本文原刊于《清華金融評論》2021年3月版,巴比特資訊經作者授權網絡首發。近年來,世界各國高度重視央行數字貨幣的發展.
1900/1/1 0:00:00